ldc1000电感检测传感器芯片详情
1
拍明芯城
LDC1000电感检测传感器芯片详解
一、芯片概述
LDC1000是德州仪器(TI)推出的一款高精度电感式金属传感器,属于电感数字转换器(Inductance-to-Digital Converter, LDC)家族。该芯片通过电磁感应原理,利用金属物体对线圈电感值的影响,实现微米级精度的距离测量,广泛应用于工业自动化、机器人避障、液位检测、厚度测量等场景。其核心优势包括高分辨率、非接触式测量、抗污染能力强、低功耗设计以及灵活的系统集成能力。

1.1 技术背景与市场定位
电感式传感技术基于电磁感应原理,通过检测金属物体对线圈电感值的变化实现物理量测量。与传统电感式传感器相比,LDC1000将模拟信号处理与数字转换集成于单芯片,显著提升了测量精度和响应速度。其目标市场涵盖需要高精度、高可靠性非接触式检测的工业领域,如清分机厚度检测、自动化生产线位移监测等。
1.2 核心特性与参数
| 参数类别 | 详细描述 |
|---|---|
| 工作电压 | 模拟部分:4.75V至5.25V;数字部分:1.8V至5.25V |
| 电感测量范围 | 0至4200nH(典型值) |
| 分辨率 | 24位电感值测量,支持亚微米级位移分辨率 |
| 频率范围 | 5kHz至5MHz |
| 接口类型 | I²C/SPI数字接口,支持高达400kHz通信速率 |
| 功耗 | 标准工作模式:<8.5mW;待机模式:<1.25mW |
| 封装形式 | WSON-16(无铅,符合RoHS标准) |
二、工作原理与信号处理机制
LDC1000的核心功能是通过检测外部LC谐振电路的电感变化,将其转换为数字信号输出。其工作过程可分为电磁感应、信号转换与数字化、数据输出三个阶段。
2.1 电磁感应阶段
当LDC1000的输出引脚向外置电感线圈施加高频激励信号时,线圈周围产生交变磁场。若金属物体进入该磁场,其内部会感应出涡流,涡流产生的反向磁场与原磁场耦合,导致线圈等效电感值发生变化。电感变化量与金属物体的距离、材质、尺寸密切相关,其数学关系可表示为:

其中,为金属与线圈的距离,为金属的相对磁导率,为电导率。
2.2 信号转换与数字化阶段
LDC1000内部集成高频振荡器、电荷平衡转换器(Charge Balance Converter)和24位模数转换器(ADC)。其工作流程如下:
谐振频率跟踪:振荡器产生与LC谐振电路频率匹配的激励信号,维持谐振状态以最大化能量传输效率。
电荷平衡转换:通过反馈回路动态调整激励信号的幅度,使谐振电路的能量损耗与金属物体的距离相关联。
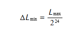
数字化处理:ADC将电荷平衡转换器的输出信号转换为数字值,其分辨率直接影响测量精度。LDC1000的24位ADC可分辨最小电感变化量为:

以典型电感范围0至4200nH为例,理论分辨率可达0.25nH。
2.3 数据输出阶段
数字化后的电感值通过I²C或SPI接口传输至主控制器。用户可通过配置寄存器选择输出数据格式(如电感值、谐振频率或品质因数Q值),并调整采样速率(0.8Hz至820Hz)以平衡精度与功耗。
三、测量模式与配置方法
LDC1000支持调频(FM)和调幅(AM)两种测量模式,用户可根据应用场景需求选择合适模式。
3.1 调频模式(Frequency Modulation, FM)
FM模式通过检测谐振频率变化实现高精度测量,适用于对分辨率和响应速度要求严苛的场景。
3.1.1 工作原理
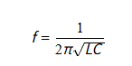
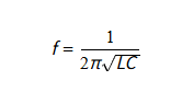
谐振频率与电感值的关系为:

当金属物体靠近线圈时,电感值减小,导致谐振频率升高。LDC1000通过内部计数器测量频率偏移量,并将其转换为数字信号输出。
3.1.2 配置方法
通过I²C接口写入CONFIG寄存器(地址0x01)的MODE字段(位5-3)为001,即可启用FM模式。示例代码如下:
void configure_FM_mode(I2C_HandleTypeDef *hi2c, uint8_t dev_addr) {
uint8_t config_reg = 0x00;
config_reg |= (0x01 << 5); // 设置MODE字段为001
HAL_I2C_Mem_Write(hi2c, dev_addr, 0x01, I2C_MEMADD_SIZE_8BIT, &config_reg, 1,
HAL_MAX_DELAY);
}
3.1.3 应用场景
微米级位移测量(如清分机厚度检测)
机器人避障(快速响应金属障碍物)
液位监测(高精度液面高度检测)
3.2 调幅模式(Amplitude Modulation, AM)
AM模式通过检测振荡信号幅度衰减实现测量,适用于低功耗或对导电性敏感的场景。
3.2.1 工作原理
当金属物体靠近线圈时,涡流效应吸收部分能量,导致振荡信号幅度下降。幅度衰减与距离的关系为:

其中,为无金属时的初始幅度,为衰减系数,为距离。
3.2.2 配置方法
通过I²C接口写入CONFIG寄存器的MODE字段为010,即可启用AM模式。示例代码如下:
void configure_AM_mode(I2C_HandleTypeDef *hi2c, uint8_t dev_addr) {
uint8_t config_reg = 0x00;
config_reg |= (0x02 << 5); // 设置MODE字段为010
HAL_I2C_Mem_Write(hi2c, dev_addr, 0x01, I2C_MEMADD_SIZE_8BIT, &config_reg, 1, HAL_MAX_DELAY);
}
3.2.3 应用场景
低功耗系统(如电池供电设备)
导电性敏感材料检测(如铜、铝等高电导率金属)
振动监测(幅度变化反映振动强度)
3.3 模式对比与选择策略
| 参数 | 调频模式(FM) | 调幅模式(AM) |
|---|---|---|
| 精度 | 高(微米级) | 中等(毫米级) |
| 响应时间 | <1ms | 1-10ms |
| 抗干扰能力 | 强(对温度漂移不敏感) | 弱(易受电磁干扰) |
| 适用金属类型 | 所有金属 | 对导电性敏感(如铜、铝) |
| 功耗 | 较高 | 较低 |
选择建议:
若需高精度、快速响应或检测所有金属,优先选择FM模式;
若需低功耗或检测高电导率金属,可选择AM模式;
极端场景下可结合两种模式,通过主控制器切换以优化性能。
四、硬件设计与优化策略
LDC1000的性能高度依赖外部LC谐振电路的设计。本节从线圈参数、目标物选择和谐振频率优化三方面展开讨论。
4.1 PCB线圈设计
PCB线圈因其低成本、高灵敏度和设计灵活性,成为LDC1000应用中的主流选择。其关键参数包括直径、线径、线距和层数。
4.1.1 直径选择
线圈直径直接影响感应距离和灵敏度。测试表明:
最大感应距离约为线圈直径;
灵敏度随距离增加而快速下降,当距离超过直径一半时性能显著衰减。
设计示例:若需检测1-3mm距离范围,分辨率10μm,采样速率100Hz,可选择14mm直径双层PCB线圈,线径/线距为4mil,电感值约20μH。
4.1.2 层数与线径优化
增加层数可提升线圈Q值和阻抗,但会降低自谐振频率。线径/线距的选择需平衡阻抗与制造工艺:
双层板适用于直径>10mm的线圈;
4mil线径/线距可实现高阻抗(>1kΩ)和低噪声。
4.2 目标物选择
目标物的材质和尺寸影响测量灵敏度:
电导率越高(如铜、铝),涡流效应越显著,灵敏度越高;
目标物面积应大于线圈直径以避免边缘效应。
4.3 谐振频率优化
谐振频率由线圈电感和谐振电容决定:

推荐选择3-5MHz频率范围,以平衡以下因素:
高频可提升分辨率,但增加电磁干扰风险;
低频可降低功耗,但牺牲灵敏度。
电容选择建议:使用C0G/NP0材质陶瓷电容,其温度稳定性优于X7R/X5R材质。
五、软件算法与数据处理
LDC1000的输出数据需通过软件算法进一步处理,以提升测量精度和抗干扰能力。
5.1 数据滤波算法
原始数据通常包含高频噪声,需通过数字滤波器平滑处理。常用方法包括:
移动平均滤波:适用于低频噪声抑制,但会引入相位延迟。
卡尔曼滤波:结合动态模型预测,适用于实时性要求高的场景。
示例代码(移动平均滤波):
#define WINDOW_SIZE 10
uint32_t moving_average_filter(uint32_t new_data) {
static uint32_t buffer[WINDOW_SIZE] = {0};
static uint8_t index = 0;
static uint32_t sum = 0;
sum -= buffer[index];
buffer[index] = new_data;
sum += new_data;
index = (index + 1) % WINDOW_SIZE;
return sum / WINDOW_SIZE;
}
环境温度变化可能导致线圈电感值漂移。可通过以下方法补偿:
硬件补偿:使用负温度系数(NTC)热敏电阻监测温度,调整谐振电容值;
软件补偿:建立温度-电感值查表模型,实时修正输出数据。
5.3 多传感器数据融合
在复杂场景中,可结合多个LDC1000传感器的数据提升可靠性。例如,在机器人避障中,通过三角测量法确定障碍物位置。
六、典型应用案例分析
6.1 清分机厚度检测
清分机需实时检测纸币厚度以识别叠钞或残损币。LDC1000通过以下方案实现:
硬件设计:采用14mm直径PCB线圈,谐振频率3.5MHz,安装于纸币传输通道两侧;
软件配置:启用FM模式,采样速率820Hz,分辨率5μm;
数据处理:通过卡尔曼滤波抑制振动噪声,实时输出厚度值。
效果:检测精度±5μm,响应时间<0.5ms,误检率<0.1%。
6.2 机器人关节角度测量
在协作机器人关节中,LDC1000用于非接触式角度测量:
硬件设计:将线圈固定于关节基座,金属靶片安装于旋转轴,通过弧形轨迹运动改变电感值;
软件配置:启用AM模式,采样速率100Hz,分辨率0.1°;
数据处理:结合正弦函数拟合算法,消除安装偏心误差。
效果:角度测量精度±0.05°,重复性±0.02°,寿命>10万次。
七、常见问题与解决方案
7.1 测量误差大
可能原因:
线圈设计不合理(如直径过小、Q值过低);
目标物材质电导率不足;
环境温度变化剧烈。
解决方案:
优化线圈参数,提升Q值至>50;
选用高电导率目标物(如铜、铝);
增加温度补偿模块。
7.2 通信失败
可能原因:
I²C/SPI接口时序不匹配;
电源电压不稳定;
芯片未正确复位。
解决方案:
检查时钟频率和时序参数;
确保电源纹波<50mV;
复位芯片后重新初始化。
7.3 功耗过高
可能原因:
采样速率设置过高;
未启用待机模式。
解决方案:
降低采样速率至需求最小值;
在空闲时段切换至待机模式。
八、替代方案与选型建议
8.1 替代芯片对比
| 芯片型号 | 分辨率 | 测量范围 | 接口 | 功耗 | 封装 |
|---|---|---|---|---|---|
| LDC1314 | 16位 | 0-100μH | I²C/SPI | <10mW | WSON-20 |
| LDC1614 | 28位 | 0-24mH | SPI | <15mW | WQFN-32 |
| LDC1001-Q1 | 16位 | 0-4200nH | SPI | <7mW | TSSOP-16 |
选型建议:
若需更高分辨率,选择LDC1614;
若需汽车级认证,选择LDC1001-Q1;
若需多通道测量,选择LDC1314(支持4通道)。
8.2 封装类型扩展
除WSON-16外,LDC系列部分型号提供TSSOP、QFN等封装,适用于不同空间需求。例如,LDC1001-Q1采用16引脚TSSOP封装,便于手工焊接和原型开发。
九、总结与展望
LDC1000凭借其高精度、非接触式测量和灵活的系统集成能力,已成为工业检测领域的核心传感器之一。未来,随着物联网和智能制造的发展,LDC1000将在以下方向持续演进:
集成度提升:单芯片集成多通道测量和信号处理功能;
智能化升级:内置机器学习算法,实现自诊断和自适应补偿;
新材料应用:支持柔性PCB线圈和新型磁性材料,拓展应用场景。
元器件采购上拍明芯城www.iczoom.com
拍明芯城提供型号查询、品牌、价格参考、国产替代、供应商厂家、封装、规格参数、数据手册等采购信息查询PDF数据手册中文资料_引脚图及功能
责任编辑:David
【免责声明】
1、本文内容、数据、图表等来源于网络引用或其他公开资料,版权归属原作者、原发表出处。若版权所有方对本文的引用持有异议,请联系拍明芯城(marketing@iczoom.com),本方将及时处理。
2、本文的引用仅供读者交流学习使用,不涉及商业目的。
3、本文内容仅代表作者观点,拍明芯城不对内容的准确性、可靠性或完整性提供明示或暗示的保证。读者阅读本文后做出的决定或行为,是基于自主意愿和独立判断做出的,请读者明确相关结果。
4、如需转载本方拥有版权的文章,请联系拍明芯城(marketing@iczoom.com)注明“转载原因”。未经允许私自转载拍明芯城将保留追究其法律责任的权利。
拍明芯城拥有对此声明的最终解释权。

产品分类

2012- 2022 拍明芯城ICZOOM.com 版权所有 客服热线:400-693-8369 (9:00-18:00)