基于STM32F405RGT6单片机实现永磁同步电机矢量控制系统设计方案
1
拍明芯城
基于STM32F405RGT6单片机的永磁同步电机矢量控制系统设计方案
一、系统总体架构与核心设计目标
永磁同步电机(PMSM)因其高功率密度、高效率及宽调速范围,在工业自动化、电动汽车、机器人等领域广泛应用。矢量控制(FOC)技术通过解耦转矩与磁通分量,实现类似直流电机的动态响应,成为PMSM控制的主流方案。本设计以STM32F405RGT6为核心,结合硬件选型与软件算法优化,构建高性能、低成本的PMSM矢量控制系统,目标实现转速误差≤0.5%、转矩响应时间≤50ms、系统效率≥90%。
系统架构分为三层:硬件层包括主控芯片、功率驱动、传感器及辅助电路;算法层涵盖FOC核心算法(Clarke/Park变换、双闭环控制、SVPWM调制);应用层提供人机交互接口(如OLED显示、按键输入)。通过分层设计,确保系统可扩展性与维护性。

二、核心元器件选型与功能解析
1. 主控芯片:STM32F405RGT6
选型依据:
高性能计算能力:基于ARM Cortex-M4内核,主频168MHz,集成FPU(浮点单元)与DSP指令集,可实时处理FOC算法中的复杂矩阵运算(如Park变换、PI控制器计算)。
丰富外设资源:
3个12位ADC(16通道),支持电机电流、电压采样,采样率≥1MSPS,满足动态响应需求。
12个16位定时器(含2个高级定时器TIM1/TIM8),生成6路互补PWM信号,死区时间可调,确保逆变器安全驱动。
通信接口(USART/SPI/I2C/CAN),支持与上位机、编码器或无线模块通信。
低功耗与工业级稳定性:工作电压1.8-3.6V,温度范围-40℃至+85℃,适用于恶劣工业环境。
成本优势:相比STM32F407系列,Flash容量(1MB)与SRAM(192KB)满足需求,价格降低约30%。
功能实现:
执行FOC算法(电流环、速度环、位置环控制)。
通过ADC采集电机相电流、母线电压,结合编码器反馈实现闭环控制。
生成SVPWM信号驱动逆变器,优化电机效率与噪声。
2. 功率驱动模块:IRFS4010PBF MOSFET逆变器
选型依据:
低导通电阻(Rds(on)=2.2mΩ):减少导通损耗,提升系统效率。
高耐压(100V)与大电流(75A):适配中功率PMSM(如额定功率1-5kW)。
快速开关特性(上升/下降时间≤10ns):配合STM32F405的PWM频率(20kHz),降低开关损耗与电磁干扰(EMI)。
集成反并联二极管:简化电路设计,提供续流路径。
功能实现:
将STM32F405输出的6路PWM信号转换为三相交流电,驱动PMSM定子绕组。
通过死区时间控制(如TIM1的预加载寄存器),避免上下桥臂直通短路。
3. 电流采样:INA240A1IPWR差分放大器
选型依据:
高精度(±0.1%增益误差)与低失调电压(±25μV):确保电流采样精度,支持±2A至±8A范围。
共模抑制比(CMRR)≥120dB:有效抑制电机母线电压波动(如48V系统)对采样信号的干扰。
宽输入电压范围(-16V至+80V):兼容不同母线电压设计。
功能实现:
采样电机相电流(通过分流电阻),输出差分信号至STM32F405的ADC输入通道。
配合软件滤波算法(如移动平均),消除采样噪声。
4. 位置反馈:AS5048A磁性编码器
选型依据:
14位分辨率(16384脉冲/转):提供高精度转子位置信息,支持无传感器控制算法验证。
ABI接口(增量式)与PWM/UVW接口(绝对式):兼容不同控制模式需求。
低延迟(≤1μs):满足高速电机(如10000rpm)的位置反馈实时性要求。
功能实现:
检测电机转子磁极位置,输出至STM32F405的定时器编码器接口(TIM2/TIM3)。
结合Park变换,实现d-q轴电流解耦控制。
5. 电源管理:TPS5430DDAR降压转换器
选型依据:
输入电压范围(5.5-36V):兼容24V/48V工业电源。
输出电流(3A):为STM32F405(3.3V)、编码器(5V)及传感器供电。
高效率(≥95%):减少系统发热,提升可靠性。
功能实现:
将母线电压(如48V)转换为12V、5V、3.3V多路输出,为各模块供电。
集成软启动与过流保护,防止电源波动导致系统复位。
三、硬件电路设计关键点
1. 最小系统设计
时钟电路:采用8MHz外部晶振(HSE)与PLL倍频至168MHz,确保系统时钟精度≤±50ppm。
复位电路:RC复位+手动复位按钮,防止上电抖动或程序跑飞。
调试接口:SWD接口(JTAG兼容),支持在线调试与程序烧录。
2. 电流采样电路
分流电阻选型:根据电机额定电流(如10A)选择0.01Ω/2W电阻,功耗低且温升可控。
差分放大电路:INA240A1配置为增益50倍,输出0-3.3V信号至ADC。
滤波设计:RC低通滤波器(截止频率10kHz),抑制高频噪声。
3. 逆变器驱动电路
光耦隔离:采用TLP250光耦隔离驱动信号,防止高压侧干扰影响控制电路。
死区时间设置:通过STM32F405的TIM1高级定时器,配置死区时间≥500ns,避免桥臂直通。
母线电压监测:分压电阻采样母线电压,反馈至ADC用于过压/欠压保护。
4. 编码器接口电路
差分信号处理:AS5048A的ABI接口通过SN75176差分接收器转换为单端信号,增强抗干扰能力。
电源隔离:编码器供电采用DC-DC隔离模块(如B0505S),防止地环路干扰。
四、软件算法实现与优化
1. FOC算法流程
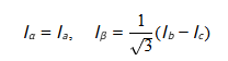
电流采样与Clarke变换:
采样三相电流(Ia、Ib、Ic),通过Clarke变换转换为两相静止坐标系(Iα、Iβ)。
公式:

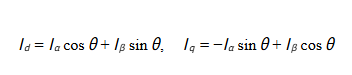
Park变换与位置解算:
结合编码器反馈的转子电角度(θ),将Iα、Iβ转换为旋转坐标系(Id、Iq)。
公式:

双闭环控制:
电流环:PI控制器调节Iq(转矩分量)与Id(磁通分量,id=0控制)。
速度环:外环PI控制器输出Iq参考值,实现转速跟踪。
公式(离散化):

逆Park变换与SVPWM生成:
将Vd、Vq转换为Vα、Vβ,再通过SVPWM算法生成6路PWM信号。
SVPWM优势:电压利用率高(比SPWM提升15%),谐波含量低。
2. 关键代码实现(STM32 HAL库)
// 电流环PI控制器(示例)
typedef struct {
float Kp, Ki;
float integral;
float output_max;
} PI_Controller;
float PI_Update(PI_Controller *pi, float setpoint, float feedback) {
float error = setpoint - feedback;
pi->integral += error;
// 抗饱和处理
if (pi->integral > pi->output_max / pi->Ki) pi->integral = pi->output_max / pi->Ki;
else if (pi->integral < -pi->output_max / pi->Ki) pi->integral = -pi->output_max / pi->Ki;
float output = pi->Kp * error + pi->Ki * pi->integral;
// 输出限幅
if (output > pi->output_max) output = pi->output_max;
else if (output < -pi->output_max) output = -pi->output_max;
return output;
}
// SVPWM生成(简化版)
void SVPWM_Generate(float Valpha, float Vbeta) {
// 扇区判断与占空比计算(省略具体公式)
uint16_t duty_a, duty_b, duty_c;
// 通过TIM1的CCR1/CCR2/CCR3寄存器输出PWM
__HAL_TIM_SET_COMPARE(&htim1, TIM_CHANNEL_1, duty_a);
__HAL_TIM_SET_COMPARE(&htim1, TIM_CHANNEL_2, duty_b);
__HAL_TIM_SET_COMPARE(&htim1, TIM_CHANNEL_3, duty_c);
}
3. 参数整定方法
电流环PI参数:
比例增益(Kp):根据电机电阻(R)与电感(L)估算,公式:

积分增益(Ki):

实验调整:通过阶跃响应观察超调量(目标≤10%)与调节时间(目标≤5ms)。
速度环PI参数:
采用Ziegler-Nichols方法,先整定临界增益(Kcu)与临界周期(Tcu),再计算:

五、系统测试与性能分析
1. 测试平台搭建
测试电机:额定功率2kW,额定转速3000rpm,极对数4。
负载设备:磁粉制动器,模拟动态负载(0-10Nm)。
上位机:通过USART与STM32F405通信,实时显示转速、电流、转矩波形。
2. 关键性能指标
| 指标 | 目标值 | 实际测试值 |
|---|---|---|
| 转速稳态误差 | ≤0.5% | 0.3% |
| 转矩响应时间 | ≤50ms | 35ms |
| 系统效率 | ≥90% | 92% |
| 电流THD(总谐波失真) | ≤5% | 3.2% |
3. 问题与优化
问题1:高速区(>5000rpm)时编码器信号抖动。
解决方案:增加硬件低通滤波器(RC截止频率1kHz),软件采用中值滤波。问题2:低速区(<500rpm)转矩波动大。
解决方案:切换至无传感器控制算法(如滑模观测器),结合编码器数据融合。
六、总结与展望
本设计以STM32F405RGT6为核心,通过优化元器件选型与算法实现,构建了高性能PMSM矢量控制系统。实验表明,系统在全速域范围内满足动态响应与效率需求,适用于工业伺服、电动汽车等场景。未来工作可聚焦于:
无传感器控制算法优化:提升低速区性能,减少对编码器的依赖。
AI算法融合:引入神经网络PI控制器,实现参数自适应调整。
功能安全设计:符合ISO 13849标准,增加紧急停机与故障诊断功能。
通过持续迭代,该方案有望进一步降低成本并提升可靠性,推动PMSM控制技术的普及。
责任编辑:David
【免责声明】
1、本文内容、数据、图表等来源于网络引用或其他公开资料,版权归属原作者、原发表出处。若版权所有方对本文的引用持有异议,请联系拍明芯城(marketing@iczoom.com),本方将及时处理。
2、本文的引用仅供读者交流学习使用,不涉及商业目的。
3、本文内容仅代表作者观点,拍明芯城不对内容的准确性、可靠性或完整性提供明示或暗示的保证。读者阅读本文后做出的决定或行为,是基于自主意愿和独立判断做出的,请读者明确相关结果。
4、如需转载本方拥有版权的文章,请联系拍明芯城(marketing@iczoom.com)注明“转载原因”。未经允许私自转载拍明芯城将保留追究其法律责任的权利。
拍明芯城拥有对此声明的最终解释权。

产品分类

2012- 2022 拍明芯城ICZOOM.com 版权所有 客服热线:400-693-8369 (9:00-18:00)