0 卖盘信息
BOM询价
您现在的位置: 首页 > 电子资讯 >基础知识 > FT8215Q的工作原理

FT8215Q的工作原理

来源:
2026-03-09
类别:基础知识
eye 1
文章创建人 拍明芯城

image.png

FT8215Q 是一款三相、无传感器 FOC(磁场定向控制)直流无刷马达驱动 IC,其工作原理基于磁场定向控制技术,通过精确控制电机磁场方向实现高效、低噪声运行。以下是其核心工作原理的详细说明:

1. 磁场定向控制(FOC)基础

FOC 的核心目标是通过调整电机三相电流的相位和幅值,使定子磁场与转子磁场始终保持垂直(90°),从而最大化转矩输出。这一过程通过以下步骤实现:

  • 三相电流采样
    FT8215Q 通过内置或外置采样电阻实时监测电机三相电流(Ia、Ib、Ic),为后续坐标变换提供数据。

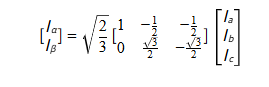
  • Clark 变换(三相到两相静止坐标系)
    将三相电流(Ia、Ib、Ic)转换为两相正交电流(Iα、Iβ),简化计算。变换公式为:

image.png

  • Park 变换(静止到旋转坐标系)
    结合转子位置信息(通过无传感器算法估算),将 Iα、Iβ 转换为与转子磁场同步旋转的坐标系下的电流(Id、Iq)。其中:

    • Id:励磁分量(与转子磁场同向),理想情况下设为 0 以减少磁饱和。

    • Iq:转矩分量(与转子磁场垂直),直接控制电机转矩。

2. 无传感器转子位置估算

FT8215Q 无需物理传感器(如霍尔传感器或编码器),而是通过以下方法估算转子位置:

  • 反电动势(BEMF)观测
    利用电机旋转时产生的反电动势与转速成正比的特性,通过算法从相电流中提取转子位置信息。

  • 滑模观测器(SMO)或龙伯格观测器
    通过数学模型实时计算转子角度,确保 Park 变换的准确性。

3. 电流环与速度环控制

  • 电流环(内环)
    通过 PI 控制器调节 Id 和 Iq,使其跟踪目标值。例如:

    • 设 Id = 0,最大化转矩输出。

    • 调节 Iq 实现目标转矩或速度控制。

  • 速度环(外环)
    根据目标速度与实际速度的误差,调整 Iq 参考值,形成闭环控制。速度反馈可通过 FG 引脚或 I2C 接口实时读取。

4. 空间矢量脉宽调制(SVPWM)

  • 电压矢量合成
    根据 Id 和 Iq 的计算结果,生成三相电压矢量(Ua、Ub、Uc),通过 SVPWM 算法控制逆变器开关(MOSFET)的导通时间,实现高效电能转换。

  • 低噪声设计
    SVPWM 算法优化开关时序,减少电流谐波,降低电机振动和噪声。

5. 保护机制与辅助功能

  • 保护功能

    • 过流保护(OCP):监测电流峰值,防止电机或驱动器损坏。

    • 欠压保护(UVLO):电源电压过低时自动停机。

    • 过温保护(TSD):防止芯片过热。

    • 堵转保护:检测电机堵转时自动停机。

    • 缺相保护:确保三相电流平衡。

  • 辅助功能

    • 软启动(Soft-On):平滑启动电机,避免电流冲击。

    • 正反转控制:通过 DIR 引脚切换旋转方向。

    • FG 转速反馈:通过 FG 引脚输出脉冲信号,实时反映电机转速。

6. 参数配置与存储

  • 内置 EEPROM
    存储电机参数(如电阻、电感)、FOC 控制参数(如 PI 系数)、启动曲线和调速模式,支持多段速度配置,简化生产调试流程。

  • GUI 调试工具
    通过上位机软件(如峰岹科技的 ASIC 仿真器)配置参数,无需编程即可完成电机适配,缩短开发周期。

应用场景示例

  • 落地扇
    通过 PWM 或 I2C 接口接收调速指令,FOC 控制降低噪声,FG 引脚反馈转速实现闭环控制。

  • 汽车座椅通风系统
    支持 6V-18V 宽电压输入,适应汽车电源波动;无感 FOC 算法确保静音运行,满足舒适性需求。

  • 散热风扇
    根据温度传感器数据动态调整转速,FOC 控制提高能效,延长使用寿命。


责任编辑:David

【免责声明】

1、本文内容、数据、图表等来源于网络引用或其他公开资料,版权归属原作者、原发表出处。若版权所有方对本文的引用持有异议,请联系拍明芯城(marketing@iczoom.com),本方将及时处理。

2、本文的引用仅供读者交流学习使用,不涉及商业目的。

3、本文内容仅代表作者观点,拍明芯城不对内容的准确性、可靠性或完整性提供明示或暗示的保证。读者阅读本文后做出的决定或行为,是基于自主意愿和独立判断做出的,请读者明确相关结果。

4、如需转载本方拥有版权的文章,请联系拍明芯城(marketing@iczoom.com)注明“转载原因”。未经允许私自转载拍明芯城将保留追究其法律责任的权利。

拍明芯城拥有对此声明的最终解释权。

上一篇: FT8215Q的参数
下一篇: FT8215Q的作用
标签: FT8215Q

相关资讯

资讯推荐
云母电容公司_云母电容生产厂商

云母电容公司_云母电容生产厂商

开关三极管13007的规格参数、引脚图、开关电源电路图?三极管13007可以用什么型号替代?

开关三极管13007的规格参数、引脚图、开关电源电路图?三极管13007可以用什么型号替代?

74ls74中文资料汇总(74ls74引脚图及功能_内部结构及应用电路)

74ls74中文资料汇总(74ls74引脚图及功能_内部结构及应用电路)

芯片lm2596s开关电压调节器的中文资料_引脚图及功能_内部结构及原理图_电路图及封装

芯片lm2596s开关电压调节器的中文资料_引脚图及功能_内部结构及原理图_电路图及封装

芯片UA741运算放大器的资料及参数_引脚图及功能_电路原理图?ua741运算放大器的替代型号有哪些?

芯片UA741运算放大器的资料及参数_引脚图及功能_电路原理图?ua741运算放大器的替代型号有哪些?

十大音质最好的运放芯片

十大音质最好的运放芯片

拍明芯城微信图标

各大手机应用商城搜索“拍明芯城”

下载客户端,随时随地买卖元器件!

拍明芯城公众号
拍明芯城抖音
拍明芯城b站
拍明芯城头条
拍明芯城微博
拍明芯城视频号
pcb
广告
恒捷广告
广告
深亚广告
广告
原厂直供
广告