tl082c引脚及中文说明
1
拍明芯城
TL082C引脚及中文详细说明
一、TL082C概述
TL082C是一款双运算放大器芯片,属于TL08x系列。它采用JFET(结型场效应晶体管)输入级,具有高输入阻抗、低输入偏置电流和失调电流、宽共模和差模电压范围等特点。这些特性使得TL082C在各种电子电路设计中具有广泛的应用,尤其适用于需要高精度、低噪声和高稳定性的场合,如音频放大、信号调理、数据采集等。

TL082C的内部包含两个独立的运算放大器,每个运算放大器都有其对应的引脚,用于输入信号、输出信号以及电源连接。其封装形式多样,常见的有DIP8(双列直插式8引脚)和SOIC8(小外形集成电路8引脚)等,方便在不同类型的电路板上进行安装和使用。
二、TL082C引脚详细说明
(一)引脚总体布局
TL082C的引脚布局遵循一定的规律,通常将两个运算放大器的引脚分别排列在芯片的两侧。以DIP8封装为例,从芯片的正面看,引脚编号按逆时针方向依次排列,其中1至4引脚对应第一个运算放大器,5至8引脚对应第二个运算放大器。
(二)各引脚具体功能
1. 第一个运算放大器引脚
引脚1:输出端1
引脚1是第一个运算放大器的输出端。当输入信号经过运算放大器的放大处理后,输出信号从该引脚输出。输出信号的电压范围通常在±13V左右(在±15V电源供电的情况下),具体数值取决于输入信号的幅度和运算放大器的增益设置。该引脚能够输出足够的电流,以驱动后续的负载电路,如扬声器、指示灯等。在实际应用中,为了保证输出信号的稳定性和质量,需要在输出端与负载之间添加适当的耦合电容或电阻,以消除直流偏置和改善频率响应。
引脚2:反相输入端1
引脚2是第一个运算放大器的反相输入端。当输入信号从这个引脚接入时,输出信号与输入信号相位相反。这是因为运算放大器内部采用了反相放大电路结构,通过负反馈机制实现对输入信号的反相放大。该引脚的输入阻抗较高,一般可达10¹²Ω,这意味着它对前级电路的影响非常小,能够有效地减少信号源的负载效应,保证输入信号的准确传输。在实际电路设计中,为了进一步提高输入阻抗和降低噪声,可以在反相输入端与地之间并联一个小电容,起到滤波和稳定的作用。
引脚3:同相输入端1
引脚3是第一个运算放大器的同相输入端。输入信号从这里接入时,输出信号与输入信号相位相同。在一些信号跟随电路中,经常使用该引脚来实现信号的无失真传输。由于同相输入端的输入阻抗也很高,同样能够减少对信号源的影响。此外,同相输入端还可以用于构建电压跟随器、加法器等电路,实现对信号的特定处理。在实际应用中,为了提高电路的共模抑制比,可以在同相输入端与反相输入端之间接入合适的电阻网络,电阻值要根据具体的电路要求和芯片参数来选择。
引脚4:负电源端
引脚4是第一个运算放大器的负电源端,通常连接负电压,一般使用-15V电源,为芯片的正常工作提供必要的偏置条件。负电源的稳定性对运算放大器的性能有着重要影响,如果负电源电压波动较大,可能会导致输出信号出现失真、噪声增加等问题。因此,在实际电路设计中,需要采用稳压电源或添加适当的滤波电路,以保证负电源电压的稳定。
2. 第二个运算放大器引脚
引脚5:同相输入端2
引脚5是第二个运算放大器的同相输入端,其功能与第一个运算放大器的同相输入端(引脚3)类似,用于输入与输出同相位的信号。在多路信号处理电路中,可以利用该引脚实现对不同信号的独立处理或合并处理。同样,为了提高共模抑制比,也可以在引脚5与引脚6之间接入合适的电阻网络。
引脚6:反相输入端2
引脚6是第二个运算放大器的反相输入端,其功能和引脚2一样,是第二个运算放大器的反相输入引脚。输入信号接入该引脚后,输出信号会与输入信号反相。在实际应用中,可以根据电路的具体需求,将引脚6与其他引脚配合使用,构建各种类型的放大电路、比较电路等。
引脚7:输出端2
引脚7是第二个运算放大器的输出端,输出第二个运算放大器处理后的信号。其输出能力和引脚1类似,能够满足一般负载的驱动需求。在多输出电路中,引脚7可以与其他输出端协同工作,实现对不同信号的分别输出或组合输出。为了保证输出信号的质量,同样需要在输出端与负载之间添加适当的耦合元件。
引脚8:正电源端
引脚8是第二个运算放大器的正电源端,连接正电压,常见的是+15V电源,为芯片提供正的偏置电压。正电源的稳定性和质量同样对运算放大器的性能至关重要,需要采用合适的电源电路和滤波措施,以确保正电源电压的稳定和纯净。
(三)引脚间的相互影响及注意事项
TL082C的引脚之间存在一定的寄生电容,这些寄生电容会影响芯片的高频性能。例如,引脚1和引脚2之间的寄生电容可能在几皮法到十几皮法之间,在高频电路设计时需要考虑这个因素。当信号频率较高时,寄生电容可能会导致信号的相位延迟、幅度衰减等问题,影响电路的正常工作。为了减小寄生电容的影响,可以采用以下几种方法:一是合理布局电路板,尽量缩短引脚之间的走线长度;二是增加接地引脚的数量,提高芯片的接地性能;三是在关键引脚之间添加适当的补偿电容或电感,以抵消寄生电容的影响。
此外,在使用TL082C时,还需要注意电源的极性和电压范围。如果电源极性接反或电压超出芯片的额定范围,可能会导致芯片损坏。同时,为了避免芯片在工作过程中产生自激振荡,需要在输出端与反相输入端之间接入适当的反馈电阻和电容,构成负反馈电路,稳定芯片的工作状态。
三、TL082C的主要参数及特性
(一)电气参数
1. 供电电压
TL082C的最大供电电压为18V,最小供电电压为10V。在正常工作时,通常采用±15V的电源供电,以保证芯片能够发挥出最佳的性能。供电电压的稳定性对芯片的输出特性有着重要影响,如果供电电压波动较大,可能会导致输出信号的失真、噪声增加等问题。
2. 输入失调电压
输入失调电压是指运算放大器在输入端没有输入信号时,输出端产生的电压偏移。TL082C的最大输入失调电压为20000μV(不同型号可能有所差异),这意味着在实际应用中,需要对输入信号进行适当的校准和调整,以消除输入失调电压对输出信号的影响。
3. 输入偏置电流
输入偏置电流是指运算放大器输入端所需的直流电流。TL082C的25℃时的最大偏置电流为0.0004μA,较低的输入偏置电流有助于减少信号源的负载效应,提高电路的精度和稳定性。
4. 共模抑制比
共模抑制比是衡量运算放大器对共模信号抑制能力的一个重要指标。TL082C的最小共模抑制比为70dB,标称共模抑制比可达100dB。较高的共模抑制比意味着芯片能够有效地抑制共模干扰信号,提高信号的信噪比。
5. 转换速率
转换速率是指运算放大器输出电压的最大变化速率。TL082C的标称压摆率为13V/μs,较高的转换速率使得芯片能够快速地放大信号,适用于高速信号处理场合。
6. 增益带宽积
增益带宽积是衡量运算放大器增益和带宽之间关系的一个指标。TL082C的增益带宽积为4MHz,这意味着在一定的增益下,芯片能够处理的有效信号频率范围是有限的。在设计电路时,需要根据实际需求合理选择增益和带宽,以确保信号能够得到准确的放大和处理。
(二)其他特性
1. 低功耗
TL082C具有低功耗的特点,其供电电流仅为3.6mA左右,这使得它适用于电池供电或者功耗受限的系统设计,能够有效延长电池的使用寿命。
2. 输出短路保护
芯片具备输出短路保护功能,可以防止因输出端错误接线或意外短路而导致的损坏。当输出端发生短路时,芯片会自动限制输出电流,保护内部电路不受损坏。
3. 宽共模和差模电压范围
TL082C能够在宽共模和差模电压范围内正常工作,增加了其在各种应用场景中的适用性。无论是输入信号的共模电压较高还是差模电压较大,芯片都能够稳定地工作,保证输出信号的准确性。
4. 高输入阻抗JFET输入级
采用JFET输入级使得芯片具有高输入阻抗,能够减少对输入信号源的影响,提高电路的整体性能。同时,JFET输入级还具有较低的输入噪声,有助于提高信号的信噪比。
5. 不会出现锁存现象
避免了在特定条件下电路进入无法正常工作的锁存状态,保证了芯片的可靠性和稳定性。
四、TL082C的应用电路示例
(一)反相放大电路
反相放大电路是TL082C最常见的应用电路之一。下面以第一个运算放大器为例,介绍反相放大电路的原理和设计方法。
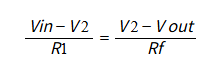
电路连接:将输入信号通过一个输入电阻R₁连接到引脚2(反相输入端),引脚3(同相输入端)接地,在引脚1(输出端)与引脚2之间连接一个反馈电阻Rf。
工作原理:根据运算放大器的虚短和虚断特性,引脚2和引脚3的电压近似相等(虚短),且引脚2的输入电流近似为零(虚断)。设输入信号为Vin,输出信号为Vout,则有:

由于V2 ≈ V3 = 0,所以可得:

由此可知,输出信号与输入信号反相,且放大倍数由反馈电阻Rf和输入电阻R₁的比值决定。
设计要点:在选择输入电阻R₁和反馈电阻Rf时,需要考虑运算放大器的输入阻抗和输出能力。一般来说,R₁的取值不宜过小,以免对信号源造成较大的负载;Rf的取值要根据所需的放大倍数来确定,同时要保证运算放大器的输出电流不超过其额定值。此外,为了减小电路的噪声和失真,应选择精度较高、温度系数较小的电阻。
(二)同相放大电路
同相放大电路也是TL082C的常用应用电路之一,下面以第二个运算放大器为例进行介绍。
电路连接:将输入信号直接连接到引脚5(同相输入端),在引脚6(反相输入端)与引脚7(输出端)之间连接一个反馈电阻Rf,同时在引脚6与地之间连接一个输入电阻R₁。
工作原理:同样根据运算放大器的虚短和虚断特性,有:
Rf
且V7 ≈ V5 = Vin,解方程可得:

由此可知,输出信号与输入信号同相,放大倍数为。
设计要点:与反相放大电路类似,在选择电阻时需要考虑运算放大器的性能参数和电路的需求。为了保证电路的稳定性和精度,应尽量减小电阻的误差和温度漂移。此外,同相放大电路的输入阻抗较高,对信号源的影响较小,但在设计时也需要注意避免引入过多的共模干扰。
(三)电压跟随器
电压跟随器是一种特殊的同相放大电路,其放大倍数为1。下面以第一个运算放大器为例介绍电压跟随器的电路连接和工作原理。
电路连接:将输入信号连接到引脚3(同相输入端),引脚2(反相输入端)与引脚1(输出端)直接相连。
工作原理:根据运算放大器的虚短特性,引脚2和引脚3的电压相等,即Vout = Vin。因此,输出信号完全跟随输入信号的变化,起到缓冲和隔离的作用。
设计要点:电压跟随器的主要作用是提高电路的输入阻抗和降低输出阻抗,因此在设计时不需要考虑放大倍数的问题。但为了保证电路的稳定性,需要在引脚2与引脚1之间连接一个小电容,起到相位补偿的作用。
五、TL082C的选型及替代型号
(一)选型要点
在选择TL082C时,需要考虑以下几个方面的因素:
1. 封装形式
根据电路板的设计和安装要求,选择合适的封装形式。常见的封装形式有DIP8和SOIC8等,DIP8封装适合手工焊接和调试,而SOIC8封装则具有体积小、易于自动化生产等优点。
2. 工作温度范围
不同的应用场合对芯片的工作温度范围有不同的要求。TL082C有不同的后缀版本,对应不同的工作温度范围,如C后缀版本适用于0°C到70°C的温度范围,I后缀版本适用于-40°C到85°C的温度范围,Q后缀版本适用于-40°C到125°C的温度范围,而M后缀版本则可在-55°C到125°C的全军用温度范围内工作。
3. 电气参数
根据电路的具体需求,选择具有合适电气参数的芯片。例如,如果对输入失调电压要求较高,应选择输入失调电压较小的型号;如果需要处理高速信号,应选择转换速率较高的型号。
(二)替代型号
当TL082C无法满足需求或出现缺货等情况时,可以考虑使用以下替代型号:
1. ECG858M
ECG858M与TL082C具有相似的电气参数和引脚功能,可以作为TL082C的替代型号使用。它在性能上能够满足大多数通用运算放大电路的需求,且价格相对较为便宜。
2. LF353
LF353也是一款常用的双运算放大器芯片,具有高输入阻抗、低输入偏置电流等特点。其引脚功能与TL082C基本相同,在音频放大、信号调理等电路中可以相互替代。
3. UA772ATC
UA772ATC同样是一款性能优良的双运算放大器,具有较低的输入失调电压和较高的共模抑制比。在一些对精度要求较高的电路中,可以用UA772ATC替代TL082C。
六、TL082C的采购信息
元器件采购上拍明芯城www.iczoom.com,拍明芯城提供型号查询、品牌、价格参考、国产替代、供应商厂家、封装、规格参数、数据手册等采购信息查询PDF数据手册中文资料、引脚图及功能。在采购TL082C时,可以通过拍明芯城平台获取详细的产品信息,包括不同品牌、不同封装形式的芯片价格和库存情况,以便选择最适合自己需求的产品。同时,平台还提供了丰富的技术资料和文档下载,帮助用户更好地了解和使用TL082C芯片。
责任编辑:David
【免责声明】
1、本文内容、数据、图表等来源于网络引用或其他公开资料,版权归属原作者、原发表出处。若版权所有方对本文的引用持有异议,请联系拍明芯城(marketing@iczoom.com),本方将及时处理。
2、本文的引用仅供读者交流学习使用,不涉及商业目的。
3、本文内容仅代表作者观点,拍明芯城不对内容的准确性、可靠性或完整性提供明示或暗示的保证。读者阅读本文后做出的决定或行为,是基于自主意愿和独立判断做出的,请读者明确相关结果。
4、如需转载本方拥有版权的文章,请联系拍明芯城(marketing@iczoom.com)注明“转载原因”。未经允许私自转载拍明芯城将保留追究其法律责任的权利。
拍明芯城拥有对此声明的最终解释权。

产品分类

2012- 2022 拍明芯城ICZOOM.com 版权所有 客服热线:400-693-8369 (9:00-18:00)