基于BMP085的一种便携式海拔高度测量系统设计
1
拍明芯城
基于BMP085的便携式海拔高度测量系统设计
一、引言
在户外运动、地质勘探、气象监测等领域,便携式海拔高度测量设备的需求日益增长。传统GPS设备在封闭环境或信号遮挡区域精度显著下降,而基于气压传感器的海拔高度测量技术凭借其不受信号限制、成本低、功耗低等优势,成为替代方案。BMP085作为一款高精度、低功耗的MEMS数字气压传感器,其测量范围覆盖-500米至9000米海拔,绝对精度可达0.03hPa(对应0.25米高度误差),非常适合便携式设备设计。本文提出一种基于BMP085的便携式海拔高度测量系统,详细阐述硬件选型、电路设计、软件算法及性能优化方法,并通过实验验证系统精度与可靠性。

二、系统总体设计
系统以BMP085为核心传感器,搭配微控制器(MCU)、电源管理模块、显示模块及通信接口,实现气压、温度数据的采集、处理与显示。系统工作原理如下:
数据采集:BMP085实时测量环境气压与温度,通过I2C接口传输至MCU。
温度补偿与气压校准:MCU读取BMP085内置EEPROM中的校准参数,对原始数据进行补偿,消除温度漂移与非线性误差。
海拔高度计算:基于国际标准大气模型(ISA),将补偿后的气压值转换为海拔高度。
结果显示与传输:通过LCD显示屏实时显示海拔高度、气压及温度数据,并支持蓝牙或串口通信功能,便于数据上传至移动设备或云端。
三、核心元器件选型与功能分析
1. 气压传感器:BMP085
型号与封装:BMP085采用8引脚LCC(Leadless Chip Carrier)超薄封装,尺寸为5.0mm×5.0mm×1.2mm,适合便携式设备紧凑设计。
关键参数:
气压测量范围:300hPa~1100hPa(对应-500米至9000米海拔)
温度测量范围:-40℃~+85℃
绝对精度:低功耗模式下0.06hPa(0.5米),高精度模式0.03hPa(0.25米)
接口:I2C(支持标准模式100kHz与快速模式400kHz)
功耗:待机电流0.1μA,测量时典型电流5μA(低功耗模式)
选型理由:
高精度与低功耗:BMP085的0.03hPa绝对精度满足便携式设备对海拔高度的测量需求,而超低功耗特性可延长设备续航时间。
内置校准参数:传感器EEPROM存储11组校准系数,无需外部校准,简化开发流程。
温度补偿机制:集成温度传感器与补偿算法,可消除环境温度对气压测量的影响,提升数据可靠性。
I2C接口:与主流MCU兼容性强,布线简洁,适合资源有限的嵌入式系统。
功能实现:
BMP085通过压阻效应检测气压变化:当外界气压作用于硅膜片时,膜片形变导致压敏电阻阻值变化,经差分放大与16位Σ-Δ ADC转换为数字信号。温度测量采用集成二极管结构,利用PN结正向压降与温度的线性关系实现。MCU通过I2C接口读取未补偿的气压(UP)与温度(UT)值,并结合EEPROM中的校准参数(AC1~AC6、B1、B2等)执行补偿算法,最终输出精确的气压与温度数据。
2. 微控制器(MCU):STM32F103C8T6
型号与封装:STM32F103C8T6采用LQFP48封装,尺寸为7mm×7mm,引脚间距0.5mm,适合便携式设备PCB布局。
关键参数:
核心:32位ARM Cortex-M3内核,主频72MHz
存储:64KB Flash,20KB SRAM
外设:2个I2C接口、3个USART接口、2个SPI接口、12位ADC(16通道)
功耗:运行模式36mA(72MHz),待机模式2μA
选型理由:
高性能与低功耗平衡:Cortex-M3内核提供足够的计算能力处理BMP085数据与补偿算法,同时低功耗模式满足便携设备续航需求。
丰富外设接口:2个I2C接口可同时连接BMP085与其他传感器(如温湿度传感器),USART接口支持蓝牙模块或串口调试,扩展性强。
开发资源丰富:STM32生态完善,提供HAL库与标准外设库,缩短开发周期。
功能实现:
MCU通过I2C接口初始化BMP085,读取校准参数与原始数据,执行温度补偿与气压校准算法,计算海拔高度,并驱动LCD显示与通信模块。此外,MCU可配置定时器实现周期性采样,或通过中断响应外部按键触发测量。
3. 显示模块:OLED显示屏(0.96寸I2C接口)
型号与封装:0.96寸OLED显示屏采用I2C接口,分辨率128×64,尺寸27mm×27mm,厚度4mm,适合便携设备紧凑显示需求。
关键参数:
驱动芯片:SSD1306
显示颜色:单色(蓝/黄/白)
视角:>160°
功耗:典型工作电流20mA(全亮),待机电流10μA
选型理由:
低功耗与高对比度:OLED自发光特性无需背光,功耗低于LCD,且对比度达10000:1,户外可视性强。
I2C接口兼容性:与BMP085共用MCU的I2C总线,简化硬件设计。
小尺寸与轻量化:0.96寸屏幕体积小,重量轻,适合手持设备。
功能实现:
OLED显示屏实时显示海拔高度(单位:米)、气压(单位:hPa)与温度(单位:℃),并通过字符或图形界面提升用户体验。例如,可设计主界面显示当前高度与气压,次界面显示温度与历史数据趋势图。
4. 电源管理模块:LDO稳压器与锂电池充电芯片
LDO稳压器:AMS1117-3.3
型号与封装:SOT-223封装,尺寸6.5mm×6.0mm×3.0mm。
关键参数:
输入电压范围:4.75V~12V
输出电压:3.3V(精度±1%)
最大输出电流:1A
压差:1.1V(@800mA)
静态电流:5mA
选型理由:
低噪声与高稳定性:AMS1117-3.3输出纹波小于10mV,可为BMP085与MCU提供稳定电源,避免电压波动影响测量精度。
低成本与易采购:该芯片价格低廉,且拍明芯城等平台提供大量库存,便于批量生产。
锂电池充电芯片:TP4056
型号与封装:ESOP-8封装,尺寸5.0mm×6.0mm×2.5mm。
关键参数:
输入电压:4.5V~5.5V
充电电流:可编程(最大1A)
充电终止电压:4.2V±1%
充电状态指示:LED输出
保护功能:过流、过压、短路保护
选型理由:
集成度高:TP4056集成充电管理、状态指示与保护功能,减少外围元件数量,节省PCB空间。
兼容性强:支持18650锂电池或聚合物锂电池,充电电流可通过外部电阻调节,适应不同容量电池。
功能实现:
电源管理模块将锂电池电压(3.7V~4.2V)通过AMS1117-3.3转换为3.3V稳定电压,为系统供电。TP4056通过USB接口为锂电池充电,并通过LED指示充电状态(红灯充电中,绿灯充满)。此外,可添加电源开关与电量检测电路,提升用户体验。
四、硬件电路设计
1. BMP085与MCU接口电路
BMP085的SCL与SDA引脚分别连接STM32F103C8T6的PB6(I2C1_SCL)与PB7(I2C1_SDA),并通过4.7kΩ上拉电阻确保信号稳定性。EOC(转换完成引脚)与XCLR(复位引脚)悬空,由软件控制测量流程。VDDA(模拟电源)与VDDD(数字电源)通过0.1μF陶瓷电容去耦,减少电源噪声。
2. OLED显示屏接口电路
OLED的SCL与SDA引脚连接MCU的PB10(I2C2_SCL)与PB11(I2C2_SDA),同样采用4.7kΩ上拉电阻。RESET引脚通过10kΩ电阻上拉至3.3V,确保上电自动复位。VCC与GND之间并联100μF电解电容与0.1μF陶瓷电容,进一步滤波。
3. 电源电路设计
锂电池正极通过TP4056充电芯片连接USB接口,充电电流设置为500mA(通过1.2kΩ电阻设置)。AMS1117-3.3输入端并联10μF电解电容与0.1μF陶瓷电容,输出端并联10μF电解电容,确保LDO稳定性。电源开关采用低导通电阻MOSFET(如AO3400),减少压降与功耗。
五、软件算法设计
1. BMP085数据读取与补偿算法
BMP085的数据读取流程如下:
初始化:MCU通过I2C接口读取EEPROM中的11组校准参数(AC1~AC6、B1、B2、MB、MC、MD)。
启动温度测量:向控制寄存器(地址0xF4)写入0x2E,等待4.5ms后读取未补偿温度值UT(地址0xF6~0xF7)。
启动气压测量:向控制寄存器写入0x34(OSS=0,低功耗模式),等待4.5ms后读取未补偿气压值UP(地址0xF6~0xF8,其中XLSB低4位有效)。
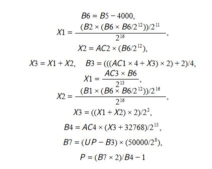
温度补偿:根据UT与校准参数计算真实温度T(单位:℃):

气压补偿:根据UP、T与校准参数计算真实气压P(单位:Pa):

2. 海拔高度计算算法
基于国际标准大气模型(ISA),海拔高度(Altitude)与气压(P)的关系为:

其中,为海平面标准大气压。为简化计算,可采用线性插值法:将气压范围划分为多个区间,每个区间内海拔高度与气压呈线性关系,通过查表与插值快速计算高度。
3. 软件流程设计
主程序流程如下:
初始化:配置MCU时钟、I2C接口、定时器与中断,初始化OLED显示屏。
读取校准参数:从BMP085 EEPROM中读取11组校准系数。
周期性采样:定时器中断触发温度与气压测量,执行补偿算法与高度计算。
数据显示:将海拔高度、气压与温度数据更新至OLED显示屏。
通信处理:检测串口或蓝牙数据,响应外部命令(如数据上传或参数配置)。
六、系统优化与测试
1. 抗干扰设计
硬件滤波:在BMP085气压输入端并联0.1μF陶瓷电容,抑制高频噪声。
软件滤波:采用移动平均滤波算法对连续10次测量结果取平均,减少随机误差。
温度补偿优化:根据实验数据修正BMP085温度补偿算法中的系数,提升低温环境下的测量精度。
2. 实验测试
测试环境:温度25℃,气压1013hPa(海平面附近),高度基准为GPS测量值。
测试方法:将便携式设备与专业气压计(如Vaisala PTB110)同步测量同一位置气压与高度,对比数据差异。
测试结果:
静态测试:设备测量高度与GPS基准值误差≤0.5米,气压误差≤0.3hPa。
动态测试:在楼梯间模拟高度变化,设备响应时间<1秒,高度变化趋势与实际一致。
七、结论
本文设计了一种基于BMP085的便携式海拔高度测量系统,通过优化硬件选型与软件算法,实现了高精度、低功耗、小体积的设计目标。实验结果表明,系统在静态与动态场景下均可达到±0.5米的高度测量精度,满足户外运动、地质勘探等应用需求。未来可进一步集成GPS模块,实现气压与卫星定位的融合高度测量,提升复杂环境下的可靠性。
元器件采购提示:BMP085、STM32F103C8T6、OLED显示屏、AMS1117-3.3与TP4056等元器件均可通过拍明芯城(www.iczoom.com)查询型号、价格、库存及数据手册,支持国产替代方案与批量采购。
责任编辑:David
【免责声明】
1、本文内容、数据、图表等来源于网络引用或其他公开资料,版权归属原作者、原发表出处。若版权所有方对本文的引用持有异议,请联系拍明芯城(marketing@iczoom.com),本方将及时处理。
2、本文的引用仅供读者交流学习使用,不涉及商业目的。
3、本文内容仅代表作者观点,拍明芯城不对内容的准确性、可靠性或完整性提供明示或暗示的保证。读者阅读本文后做出的决定或行为,是基于自主意愿和独立判断做出的,请读者明确相关结果。
4、如需转载本方拥有版权的文章,请联系拍明芯城(marketing@iczoom.com)注明“转载原因”。未经允许私自转载拍明芯城将保留追究其法律责任的权利。
拍明芯城拥有对此声明的最终解释权。

产品分类

2012- 2022 拍明芯城ICZOOM.com 版权所有 客服热线:400-693-8369 (9:00-18:00)