2n7000开启电压是多少
1
拍明芯城
2N7000开启电压深度解析:从基础特性到应用实践
作为N沟道增强型MOSFET的典型代表,2N7000凭借其低功耗、高开关速度和易驱动特性,在电子电路设计中占据重要地位。其核心参数——开启电压(阈值电压Vgs(th)),直接决定了器件的导通条件与工作稳定性。本文将从技术原理、测试方法、影响因素及应用优化四个维度,系统阐述2N7000的开启电压特性。

一、开启电压的定义与物理机制
开启电压(Vgs(th))是MOSFET从截止区进入导通区的临界栅源电压值。对于2N7000而言,当栅源电压Vgs超过阈值电压时,沟道内形成导电通道,漏极电流Id开始显著增加。这一过程基于场效应原理:栅极电压通过电场控制沟道中载流子的浓度,从而调节漏源间的导电能力。
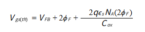
从半导体物理层面看,2N7000采用N型硅衬底,通过氧化层下的P型基区形成反型层。当Vgs达到阈值电压时,反型层中的电子浓度足以支撑漏极电流流动。阈值电压的表达式为:
其中,为平带电压,为费米势,为掺杂浓度,为氧化层电容。这一公式揭示了材料参数与工艺对阈值电压的深层影响。
二、2N7000开启电压的典型值与测试方法
根据厂商数据,2N7000的开启电压通常在1.0V至3.9V范围内,具体值因封装形式、生产批次和测试条件而异。例如,TO-92封装的2N7000-G型号标注阈值电压为800mV(典型值),而部分工业级产品可能达到3.9V(最大值)。这种差异源于制造工艺中的离子注入剂量、退火温度等参数的控制精度。
测试开启电压的常用方法包括:
直流扫描法:通过逐步增加Vgs,监测Id的变化。当Id达到特定阈值(如1mA)时对应的Vgs即为开启电压。此方法需配合源表或半导体参数分析仪实现。
曲线追踪法:利用示波器或专用曲线追踪仪绘制Id-Vgs特性曲线,通过视觉判断曲线拐点对应的Vgs值。
脉冲测试法:适用于高频应用场景,通过短脉冲激励避免器件自热效应对测试结果的影响。
以2N7000的转移特性测试为例,当Vgs从0V扫描至5V时,Id在Vgs≈2.1V时开始急剧上升,表明其开启电压约为2.1V。这一数据与部分实验测量结果一致,但需注意测试条件(如漏极电压Vds、温度)对结果的影响。
三、影响开启电压的关键因素
温度效应:
阈值电压具有负温度系数,即温度升高时Vgs(th)降低。这是因为温度上升导致半导体禁带宽度减小,费米势降低,从而降低了形成反型层所需的电场强度。实验表明,2N7000的Vgs(th)每升高10℃,可能下降约2-5mV。这一特性在高温环境应用中需特别关注,可能引发误导通或漏电流增加。工艺偏差:
制造过程中的离子注入不均匀性、氧化层厚度波动等因素会导致同一批次器件的Vgs(th)存在分布。例如,某批次2N7000的阈值电压可能集中在1.8V至2.4V范围内,这种离散性需通过设计裕量或筛选测试来控制。栅极电压极性:
对于N沟道MOSFET,正向Vgs(栅极电压高于源极)用于开启器件,而反向Vgs(栅极电压低于源极)通常被限制在-20V以内(根据数据手册),以避免栅氧化层击穿。2N7000的栅源击穿电压(Vgs)标称为±20V,但实际应用中需保持Vgs在安全范围内。漏极电压影响:
漏极电压Vds通过沟道长度调制效应间接影响阈值电压。当Vds增加时,沟道耗尽区展宽,等效阈值电压可能略有上升。不过,对于2N7000这类低压器件,此效应在常规工作条件下通常可忽略。
四、开启电压对电路设计的影响与优化策略
驱动电路设计:
开启电压直接决定了驱动电路所需的最低电压。例如,在逻辑电平转换应用中,若输入信号高电平为3.3V,需选择Vgs(th)低于3.3V的MOSFET(如2N7000的典型值1.0-2.0V),以确保完全导通。若Vgs(th)接近驱动电压,可能导致器件工作在线性区,增加导通损耗。功耗控制:
阈值电压与导通电阻(Rds(on))存在权衡关系。降低Vgs(th)可减小驱动电压需求,但可能伴随Rds(on)的增加。2N7000在Vgs=10V时的Rds(on)约为1.8Ω,而在Vgs=4.5V时可能升至5Ω以上。设计时需根据功耗预算选择合适的工作点。温度补偿设计:
在高温环境中,Vgs(th)的降低可能导致器件意外导通。可通过以下方法补偿:增加驱动电压裕量,例如按Vgs(th)最大值(如3.9V)设计电路。
引入温度传感器,动态调整驱动电压。
选择阈值电压温度系数更小的器件(如部分工业级MOSFET)。
并联应用优化:
当需要更高电流能力时,可并联多个2N7000。此时需确保各器件的Vgs(th)匹配,以避免电流不均。例如,若并联器件的Vgs(th)差异为0.5V,在相同Vgs下,低阈值器件可能承担更多电流,导致局部过热。筛选测试或使用集成多管芯的功率MOSFET模块可解决此问题。
五、2N7000开启电压的实际测试案例
以某实验为例,测试2N7000的转移特性:
电路搭建:
源极接地,漏极通过1Ω电阻接至10V电源,栅极由可调电源提供0-5V扫描电压。漏极电流Id通过测量1Ω电阻上的电压降计算。测试结果:
当Vgs从0V增加至2.1V时,Id从μA级跃升至mA级,表明开启电压约为2.1V。进一步测试显示,在Vgs=4.5V时,Id达到247mA(典型值),此时Rds(on)约为(10V-Vds)/Id≈(10V-0.1V)/247mA≈40Ω(注:此为简化计算,实际需考虑沟道调制效应)。数据分析:
测试结果与数据手册中的典型值(Vgs(th)=1.0-2.0V)存在差异,可能源于测试条件(如Vds=10V vs. 数据手册中的Vds=1V)或器件个体差异。这强调了实际测试与理论参数结合的重要性。
六、2N7000与其他型号的开启电压对比
| 型号 | 封装形式 | Vgs(th)典型值 | 最大连续Id | 应用场景 |
|---|---|---|---|---|
| 2N7000 | TO-92 | 1.0-2.0V | 200mA | 逻辑电平转换、开关电路 |
| 2N7002 | SOT-23 | 1.0-2.5V | 115mA | 便携设备、低功耗应用 |
| IRF8540 | TO-220 | 2.0-4.0V | 8.0A | 电源开关、电机驱动 |
对比可见,2N7000的开启电压较低,适合低压驱动场景,但电流能力有限;而IRF8540等功率MOSFET虽阈值电压较高,但可承载更大电流。设计时需根据应用需求权衡选择。
七、总结与展望
2N7000的开启电压作为其核心参数,直接影响器件的导通特性、功耗与可靠性。通过理解其物理机制、测试方法及影响因素,设计师可优化电路性能,避免因阈值电压偏差导致的功能异常。未来,随着半导体工艺的进步,MOSFET的阈值电压控制精度将进一步提升,为低功耗、高集成度电子系统的发展提供支撑。
责任编辑:David
【免责声明】
1、本文内容、数据、图表等来源于网络引用或其他公开资料,版权归属原作者、原发表出处。若版权所有方对本文的引用持有异议,请联系拍明芯城(marketing@iczoom.com),本方将及时处理。
2、本文的引用仅供读者交流学习使用,不涉及商业目的。
3、本文内容仅代表作者观点,拍明芯城不对内容的准确性、可靠性或完整性提供明示或暗示的保证。读者阅读本文后做出的决定或行为,是基于自主意愿和独立判断做出的,请读者明确相关结果。
4、如需转载本方拥有版权的文章,请联系拍明芯城(marketing@iczoom.com)注明“转载原因”。未经允许私自转载拍明芯城将保留追究其法律责任的权利。
拍明芯城拥有对此声明的最终解释权。

产品分类


2012- 2022 拍明芯城ICZOOM.com 版权所有 客服热线:400-693-8369 (9:00-18:00)