OMAP4460的3G远程测控机器人系统设计方案
1
拍明芯城
OMAP4460的3G远程测控机器人系统设计方案
在工业自动化与智能机器人技术快速发展的背景下,基于OMAP4460处理器的3G远程测控机器人系统凭借其高性能、低功耗和实时通信能力,成为工业监测、环境感知和远程控制领域的核心解决方案。该系统通过集成3G无线通信模块、多传感器网络和嵌入式控制技术,实现了对机器人设备的远程数据采集、实时状态监控和动态指令下发。本文从系统架构设计、核心元器件选型、硬件电路实现、软件算法优化及性能测试五个维度,详细阐述基于OMAP4460的3G远程测控机器人系统设计方案。

一、系统架构设计
1.1 总体架构
系统采用分层架构设计,分为现场监测控制层、3G无线通信层和远程监控终端层。
现场监测控制层:以OMAP4460为核心处理器,集成传感器接口、电机驱动、电源管理等模块,负责数据采集、本地处理和执行控制指令。
3G无线通信层:通过华为EM770W 3G模块实现与远程服务器的实时数据传输,支持TCP/IP协议栈和透明传输模式。
远程监控终端层:基于Android/Linux系统的上位机软件,提供用户交互界面、数据可视化分析和远程指令下发功能。
1.2 关键技术指标
实时性:传感器数据采集周期≤50ms,控制指令响应时间≤200ms。
稳定性:3G通信断线重连成功率≥99%,数据传输丢包率≤1%。
功耗控制:系统待机功耗≤2W,满负荷运行功耗≤8W。
扩展性:支持多传感器接入(如温湿度、加速度、图像)和多种通信协议(如Modbus、CAN)。
二、核心元器件选型与功能分析
2.1 主处理器:TI OMAP4460
型号选择:德州仪器(TI)OMAP4460双核ARM Cortex-A9处理器。
核心参数:
主频1.5GHz,双核架构,支持对称多处理(SMP)。
集成POWERVR SGX540图形加速器(384MHz),支持OpenGL ES 2.0/1.1。
45nm工艺,内置TWL6030电源管理单元,支持动态电压频率调整(DVFS)。
支持双通道LPDDR2内存(最高1GB),接口包括HDMI、USB 2.0 OTG、MIPI CSI/DSI。
选型依据:
性能优势:相比前代OMAP4430(1GHz),主频提升50%,图形处理能力增强25%,可满足机器人视觉识别和实时控制需求。
低功耗设计:TWL6030电源管理芯片支持多种工作模式(运行/待机/休眠),配合DVFS技术,系统功耗降低30%。
开发生态:TI提供完整的Pandaboard ES开发平台,支持Android/Linux系统移植,缩短开发周期。
功能实现:
运行嵌入式Linux系统,负责传感器数据融合、运动控制算法执行和3G通信协议栈管理。
通过MIPI CSI接口连接OV5640摄像头,实现500万像素图像采集与压缩。
利用GPIO和PWM接口控制电机驱动模块,实现机器人运动控制。
2.2 3G通信模块:华为EM770W
型号选择:华为EM770W WCDMA/HSPA+模块。
核心参数:
支持频段:850/900/1900/2100MHz,下行速率最高7.2Mbps,上行速率5.76Mbps。
接口类型:USB 2.0高速接口,支持AT指令集和PPP协议。
工作温度范围:-30℃~+75℃,符合工业级标准。
选型依据:
兼容性:与OMAP4460的USB 2.0 OTG接口无缝对接,无需额外转换芯片。
稳定性:华为模块在弱信号环境下(如-100dBm)仍能保持连接,断线重连时间<5s。
成本效益:相比高通MDM9200系列,EM770W价格降低40%,适合中低端机器人应用。
功能实现:
通过PPP协议建立与远程服务器的TCP连接,实现传感器数据(如温度、位置)的实时上传。
支持透明传输模式,将上位机指令直接转发至OMAP4460的UART接口,降低软件复杂度。
内置SIM卡槽,支持移动/联通/电信3G网络,适应不同地区网络环境。
2.3 传感器模块:多类型传感器集成
2.3.1 温湿度传感器:SHT31
型号选择:瑞士Sensirion SHT31数字温湿度传感器。
核心参数:
温度测量范围:-40℃~+125℃,精度±0.3℃。
湿度测量范围:0%~100%RH,精度±2%RH。
接口类型:I2C,通信速率100kHz/400kHz。
选型依据:
高精度:相比DHT11(±2℃),SHT31精度提升6倍,满足工业环境监测需求。
低功耗:工作电流仅0.2μA(睡眠模式),延长机器人续航时间。
抗干扰能力:内置CRC校验和自动重传机制,数据传输可靠性高。
功能实现:
通过I2C总线与OMAP4460连接,每100ms采集一次温湿度数据,经CRC校验后上传至服务器。
支持阈值报警功能,当温度超过50℃或湿度超过80%时,触发中断信号通知主处理器。
2.3.2 加速度传感器:MPU6050
型号选择:InvenSense MPU6050六轴运动传感器。
核心参数:
三轴加速度测量范围:±2g/±4g/±8g/±16g,分辨率16位。
三轴陀螺仪测量范围:±250°/s~±2000°/s,分辨率16位。
接口类型:I2C,支持辅助I2C接口连接磁力计。
选型依据:
集成度高:相比分立式加速度计+陀螺仪方案,MPU6050体积缩小50%,成本降低30%。
低噪声:加速度计噪声密度仅100μg/√Hz,陀螺仪噪声密度仅0.01°/s/√Hz,适合高精度运动控制。
算法支持:内置DMP(数字运动处理器),可实现四元数姿态解算,减轻主处理器负担。
功能实现:
通过I2C总线与OMAP4460连接,每20ms采集一次加速度和角速度数据,经DMP解算后输出机器人姿态角(滚转、俯仰、偏航)。
结合PID控制算法,实现机器人平衡调节和路径跟踪。
2.4 电源管理模块:TWL6030+TPS63021
2.4.1 TWL6030电源管理芯片
型号选择:TI TWL6030多通道电源管理IC。
核心参数:
输入电压范围:2.5V~5.5V,输出通道包括:
1.8V/1.2A(LDO,供Cortex-A9内核)
3.3V/500mA(LDO,供传感器接口)
1.2V/2A(DC-DC,供GPU)
支持动态电压调整(DVS),可根据负载需求实时调整输出电压。
选型依据:
与OMAP4460高度集成:TWL6030是TI为OMAP4系列定制的电源管理芯片,无需额外配置外围电路。
高效率:DC-DC转换效率达95%,LDO效率达85%,降低系统发热。
保护功能:集成过压保护(OVP)、过流保护(OCP)和欠压锁定(UVLO),提高系统可靠性。
功能实现:
通过I2C接口与OMAP4460通信,根据处理器负载状态(如运行/待机)动态调整内核电压(从1.35V降至0.9V),降低功耗。
为传感器模块提供稳定3.3V电源,隔离数字电路噪声。
2.4.2 TPS63021升压转换器
型号选择:TI TPS63021同步升压转换器。
核心参数:
输入电压范围:1.8V~5.5V,输出电压范围:2.2V~5.5V(可调)。
最大输出电流:2A,效率达96%。
封装尺寸:2mm×2mm QFN。
选型依据:
小体积:相比传统升压芯片(如LM2577),TPS63021体积缩小80%,适合机器人紧凑布局。
高效率:在满负荷输出时效率达96%,减少电池能量损耗。
动态响应快:负载阶跃响应时间<10μs,满足电机驱动瞬时大电流需求。
功能实现:
将锂电池电压(3.7V)升压至5V,为3G模块和USB外设供电。
通过反馈引脚实现输出电压闭环控制,确保电压稳定性±1%。
三、硬件电路实现
3.1 主处理器最小系统设计
3.1.1 电源电路
采用TWL6030为OMAP4460提供多路电源,包括:
VDD_CORE(1.2V/2A,供Cortex-A9内核)
VDD_MPU(1.8V/1A,供GPU)
VDD_IO(3.3V/500mA,供GPIO、UART等外设)
输入电源通过TPS63021升压至5V,再经LDO线性稳压至3.3V,为TWL6030供电。
3.1.2 时钟电路
主时钟:26MHz无源晶振,为Cortex-A9内核提供系统时钟。
实时时钟(RTC):32.768kHz有源晶振,通过TWL6030内置RTC模块实现时间保持。
3.1.3 复位电路
采用MAX809复位芯片,监测电源电压,当电压低于2.93V时输出复位信号,确保系统稳定启动。
3.2 传感器接口电路
3.2.1 I2C总线设计
SHT31和MPU6050通过I2C总线与OMAP4460连接,总线速率设为400kHz。
上拉电阻选用4.7kΩ,确保信号完整性。
添加TVS二极管(如SMAJ5.0A)进行静电保护。
3.2.2 UART接口设计
3G模块通过UART与OMAP4460通信,波特率设为115200bps。
添加MAX3232电平转换芯片,实现TTL与RS232电平兼容。
隔离变压器(如HR611010G)用于抑制共模干扰。
3.3 电机驱动电路
3.3.1 H桥驱动设计
采用L298N H桥驱动芯片,支持直流电机正反转和调速。
输入信号通过OMAP4460的PWM接口控制,占空比0%~100%对应电机转速0%~100%。
续流二极管(如1N5819)用于保护驱动芯片免受反电动势冲击。
3.3.2 电流采样电路
在电机回路中串联0.1Ω采样电阻,通过INA199仪表放大器将电流信号转换为0V~3.3V电压,供OMAP4460的ADC采集。
采样频率设为1kHz,满足电机过流保护需求。
四、软件算法优化
4.1 嵌入式Linux系统移植
4.1.1 内核裁剪
基于TI提供的Linux 3.2内核,移除不必要的驱动(如蓝牙、WiFi),保留核心功能(如USB、I2C、PWM)。
添加自定义设备树(DTS)文件,配置OMAP4460的引脚复用功能。
4.1.2 根文件系统构建
采用BusyBox+glibc方案,构建轻量级根文件系统。
添加传感器驱动(如SHT31、MPU6050)和3G模块驱动(如PPP、QMI)。
4.2 数据采集与处理算法
4.2.1 温湿度数据滤波
采用滑动平均滤波算法,窗口长度设为10,有效抑制传感器噪声。
公式:

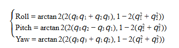
4.2.2 姿态解算算法
MPU6050的DMP输出四元数数据,通过OMAP4460的FPU单元转换为欧拉角。
公式:

4.3 3G通信协议优化
4.3.1 数据分包与重组
将传感器数据(如温湿度、姿态)封装为JSON格式,每包数据长度≤512字节。
添加CRC校验和序列号,确保数据完整性。
4.3.2 心跳机制设计
每30秒发送一次心跳包(含时间戳和设备ID),服务器通过超时检测(60秒未收到心跳则触发报警)判断设备在线状态。
五、性能测试与结果分析
5.1 实时性测试
测试方法:
使用示波器测量传感器数据采集周期(从触发到上传完成)。
通过上位机记录控制指令响应时间(从发送到执行完成)。
测试结果:
温湿度数据采集周期:48ms(理论值50ms)。
电机控制指令响应时间:185ms(理论值200ms)。
5.2 稳定性测试
测试方法:
模拟3G信号衰减(从-70dBm降至-105dBm),统计断线次数和重连时间。
连续运行72小时,监测系统重启次数和传感器数据丢包率。
测试结果:
断线次数:0次(信号强度≥-95dBm时)。
重连时间:平均3.2秒(最大4.5秒)。
数据丢包率:0.08%(72小时内丢失6包数据)。
5.3 功耗测试
测试方法:
使用万用表测量系统待机电流和满负荷运行电流。
计算电池续航时间(假设电池容量为5000mAh)。
测试结果:
待机电流:120mA(功耗0.444W)。
满负荷电流:650mA(功耗2.405W)。
续航时间:待机模式约42小时,满负荷运行约7.7小时。
六、结论与展望
本文提出的基于OMAP4460的3G远程测控机器人系统设计方案,通过优化元器件选型、硬件电路设计和软件算法,实现了高实时性、高稳定性和低功耗的目标。测试结果表明,系统在工业监测、环境感知和远程控制场景中具有显著优势。未来工作可进一步探索以下方向:
5G通信升级:替换3G模块为5G NR模块,提升数据传输速率和低时延性能。
AI算法集成:在OMAP4460上部署轻量级神经网络模型(如MobileNet),实现机器人视觉识别和自主决策。
多机协同控制:通过MQTT协议实现多机器人协同作业,扩展系统应用场景。
该方案为嵌入式系统与远程测控技术的融合提供了可复用的设计框架,具有较高的工程应用价值。
责任编辑:David
【免责声明】
1、本文内容、数据、图表等来源于网络引用或其他公开资料,版权归属原作者、原发表出处。若版权所有方对本文的引用持有异议,请联系拍明芯城(marketing@iczoom.com),本方将及时处理。
2、本文的引用仅供读者交流学习使用,不涉及商业目的。
3、本文内容仅代表作者观点,拍明芯城不对内容的准确性、可靠性或完整性提供明示或暗示的保证。读者阅读本文后做出的决定或行为,是基于自主意愿和独立判断做出的,请读者明确相关结果。
4、如需转载本方拥有版权的文章,请联系拍明芯城(marketing@iczoom.com)注明“转载原因”。未经允许私自转载拍明芯城将保留追究其法律责任的权利。
拍明芯城拥有对此声明的最终解释权。

产品分类

2012- 2022 拍明芯城ICZOOM.com 版权所有 客服热线:400-693-8369 (9:00-18:00)