基于实时采样的变频器功率测量电路设计方案
1
拍明芯城
基于实时采样的变频器功率测量电路设计方案
引言
随着工业自动化与新能源领域的快速发展,变频器作为电机调速的核心设备,其功率测量精度直接影响系统效率评估与故障诊断。传统功率测量方法在变频器场景中面临谐波干扰、电磁噪声、动态响应不足等挑战,导致测量误差显著。实时采样技术通过同步捕获电压、电流瞬时值,结合高精度信号处理算法,可有效解决上述问题,实现变频器输入/输出侧功率的精准测量。
本方案以实时采样为核心,从硬件选型、电路设计、信号处理算法到抗干扰策略进行系统性阐述,重点分析关键元器件的选型依据、功能特性及优化方法,为高精度变频器功率测量提供可落地的技术路径。

实时采样技术原理与挑战
1. 实时采样技术原理
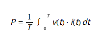
实时采样要求在每个信号周期内按固定时间间隔采集电压、电流瞬时值,通过积分计算有功功率、无功功率及视在功率。其核心公式为:

其中, 和 分别为瞬时电压和电流, 为信号周期。
关键技术点:
同步采样:电压与电流采样需严格时间对齐,避免相位误差导致功率计算偏差。
高采样率:根据奈奎斯特定理,采样率需≥2倍信号最高频率。对于50Hz系统,基础采样率≥100Hz,但考虑谐波成分(如5次谐波250Hz),实际采样率需提升至1kHz以上。
低噪声设计:传感器、ADC及信号链路需抑制电磁干扰(EMI)和热噪声,确保信噪比(SNR)≥60dB。
2. 变频器功率测量挑战
谐波干扰:变频器输出为PWM调制波形,含大量高次谐波(如5次、7次),传统平均值测量法误差可达10%以上。
动态响应:电机负载突变时,功率值需在10ms内更新,要求采样与处理链路延迟≤1ms。
电磁兼容性(EMC):变频器IGBT开关产生强电磁干扰,需通过隔离设计、滤波电路及屏蔽措施抑制噪声。
硬件电路设计:关键元器件选型与功能
1. 传感器选型与接口设计
(1)电压传感器
选型依据:
量程匹配:变频器输出电压范围通常为0-690V AC,需选择量程覆盖且留有余量的传感器。
线性度:非线性误差≤0.1%,确保电压转换精度。
响应时间:上升时间≤1μs,适应快速动态变化。
推荐型号:
霍尔效应电压传感器(LEM LV-25P)
量程:0-500V AC(可扩展至690V)。
线性度:0.1%。
响应时间:0.5μs。
输出:0-5V比例电压,直接接入ADC。
优势:隔离设计,抗干扰能力强,适用于强电环境。
电阻分压器+隔离放大器(如AMC1301)
分压比:690V:3.3V(200:1分压电阻)。
隔离放大器:增益误差≤0.05%,共模抑制比(CMRR)≥100dB。
适用场景:成本敏感型应用,需配合高精度ADC使用。
(2)电流传感器
选型依据:
量程匹配:电机额定电流范围通常为0.1-1000A,需选择量程覆盖且留有2倍余量的传感器。
带宽:≥100kHz,捕获PWM调制边沿。
温度稳定性:温漂≤50ppm/℃,适应工业环境温度波动。
推荐型号:
霍尔效应电流传感器(LEM LA-55P)
量程:0-50A(可扩展至200A)。
带宽:200kHz。
线性度:0.1%。
输出:0-5V比例电压,直接接入ADC。
优势:隔离设计,抗干扰能力强,适用于大电流场景。
分流电阻+仪表放大器(如INA240)
分流电阻:0.1mΩ,功率损耗低。
仪表放大器:增益误差≤0.02%,CMRR≥120dB。
适用场景:小电流(<10A)精密测量,需配合低噪声ADC使用。
2. 信号调理电路设计
(1)抗混叠滤波器
设计目标:抑制高频噪声,避免采样混叠。
推荐方案:
二阶巴特沃斯低通滤波器
电阻:精密金属膜电阻(1%精度,温漂≤50ppm/℃)。
电容:NP0/C0G陶瓷电容(温漂≤30ppm/℃,ESR低)。
截止频率:,设为采样率的1/5(如采样率1kHz,)。
元件选型:
(2)电压钳位保护
设计目标:防止传感器输出电压超过ADC输入范围(0-3.3V)。
推荐方案:
TVS二极管(如SMAJ5.0A)
钳位电压:5V(低于ADC最大输入电压)。
响应时间:1ps,快速抑制过压。
3. ADC选型与配置
选型依据:
分辨率:≥16位,确保小信号测量精度(如1mV分辨率对应16位ADC的3.3V量程)。
采样率:≥1MSPS,满足高频谐波采样需求。
输入范围:0-3.3V,匹配传感器输出。
接口类型:SPI/并行接口,便于与MCU高速通信。
推荐型号:
AD7606(16位,8通道,200kSPS)
优势:集成抗混叠滤波器,简化外围电路设计。
适用场景:多通道同步采样(如三相电压/电流测量)。
ADS1256(24位,8通道,30kSPS)
优势:超高分辨率,适用于精密测量(如0.01%精度需求)。
适用场景:实验室级高精度功率分析。
ADC配置要点:
参考电压:选用高精度基准源(如ADR4525,±0.02%精度,1ppm/℃温漂)。
输入缓冲:ADC内置PGA(可编程增益放大器)或外接运放(如OPA2188,低噪声0.8nV/√Hz),提高输入阻抗。
4. 主控芯片(MCU)选型
选型依据:
计算能力:需支持浮点运算(如STM32F4/F7系列,Cortex-M4/M7内核)。
外设接口:集成DMA、SPI/I2C、UART,便于与ADC、通信模块交互。
实时性:中断响应时间≤1μs,满足动态功率测量需求。
推荐型号:
STM32F407VGT6
主频:168MHz,支持浮点运算单元(FPU)。
外设:3个12位ADC(1MSPS)、2个DAC、17个定时器、多路UART/SPI。
适用场景:工业级功率测量,兼顾成本与性能。
STM32H743VI
主频:480MHz,双精度FPU,适用于高频采样与复杂算法。
适用场景:高端电机驱动系统,需实时计算效率与损耗。
5. 通信模块选型
设计目标:将功率数据传输至上位机或PLC,支持实时监控与数据分析。
推荐方案:
RS485(MAX485芯片)
优势:长距离传输(1.2km),抗干扰能力强,适用于工业现场。
通信协议:Modbus RTU,兼容多数工业设备。
以太网(W5500芯片)
优势:高速传输(100Mbps),支持TCP/IP协议,适用于远程监控。
通信协议:Modbus TCP或自定义协议。
软件算法设计:功率计算与优化
1. 实时采样与数据缓存
实现方法:
DMA传输:配置ADC通过DMA将采样数据直接存入内存缓冲区,减少CPU负载。
双缓冲区机制:一个缓冲区用于采样,另一个用于处理,避免数据覆盖。
代码示例(STM32 HAL库):
c
#define BUFFER_SIZE 1024 uint16_t adc_buffer[2][BUFFER_SIZE]; // 双缓冲区 volatile uint8_t buffer_index = 0; // 当前缓冲区索引
void ADC_DMA_Config(void) { HAL_ADCEx_MultiModeConfigChannel(&hadc1, ADC_SINGLE_ENDED, ADC_CHANNEL_0);
// 电压通道 HAL_ADCEx_MultiModeConfigChannel(&hadc2, ADC_SINGLE_ENDED, ADC_CHANNEL_1);
// 电流通道 HAL_ADC_Start_DMA(&hadc1, (uint32_t*)adc_buffer[0], BUFFER_SIZE); HAL_ADC_Start_DMA(&hadc2, (uint32_t*)adc_buffer[1], BUFFER_SIZE); }
// 中断服务函数(缓冲区切换) void HAL_ADC_ConvCpltCallback(ADC_HandleTypeDef* hadc) { buffer_index ^= 1; // 切换缓冲区 HAL_ADC_Start_DMA(&hadc1, (uint32_t*)adc_buffer[buffer_index], BUFFER_SIZE); }
2. 功率计算算法
(1)瞬时功率计算

实现方法:
将ADC值转换为实际电压/电流:

其中, 为ADC参考电压, 为电流传感器比例系数。
(2)有功功率计算

实现方法:
对一个周期内的瞬时功率求和并平均:
float calculate_active_power(uint16_t* v_buf, uint16_t* i_buf, uint16_t size) {
float sum = 0.0;
for (uint16_t i = 0; i < size; i++) {
float v = (v_buf[i] * 3.3) / 4095.0; // 12位ADC,VREF=3.3V
float i_val = (i_buf[i] * 5.0) / 4095.0; // 假设电流传感器输出0-5V
float i_actual = i_val / 0.1; // 分流电阻0.1Ω,1A对应0.1V
sum += v * i_actual;
}
return sum / size;
}
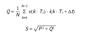
(3)无功功率与视在功率

实现方法:
通过希尔伯特变换或延迟线法计算相位差 ,进而求无功功率。
3. 抗干扰与校准算法
(1)软件滤波
移动平均滤波:
#define WINDOW_SIZE 10
float moving_average(float* buf, uint16_t size) {
float sum = 0.0;
for (uint16_t i = 0; i < size; i++) sum += buf[i];
return sum / size;
}
中值滤波:对采样数据排序后取中值,抑制脉冲噪声。
(2)硬件校准
零点校准:在无输入时测量ADC偏移,后续采样减去偏移值。
增益校准:输入已知标准信号(如5V),计算实际增益并修正:

抗干扰设计与EMC优化
1. 电源噪声抑制
LDO稳压器:选用低噪声LDO(如TPS7A4700,噪声密度≤4μV/√Hz)。
电源滤波:在ADC电源引脚添加0.1μF陶瓷电容+10μF钽电容,抑制高频/低频噪声。
2. 信号隔离
数字隔离器:在ADC与MCU之间使用光耦(如ADuM3151)或磁隔离器(如Si8641),阻断共模噪声。
模拟隔离:在传感器与ADC之间使用隔离放大器(如AMC1301),隔离高压侧噪声。
3. PCB布局优化
模拟/数字地分割:模拟地与数字地单点连接,避免地环路干扰。
信号走线:ADC输入信号线远离高频时钟线(间距≥2mm),必要时包地处理。
铺铜策略:模拟区铺铜连接至模拟地,数字区铺铜连接至数字地。
实验验证与结果分析
1. 实验平台搭建
测试对象:3kW变频器驱动异步电机。
测量设备:
功率分析仪(HIOKI PW6001,基准参考)。
自研测量板(STM32F407+AD7606)。
测试方法:
同时采集变频器输入/输出侧电压、电流,计算功率并与功率分析仪对比。
2. 实验结果
| 参数 | 功率分析仪测量值 | 自研测量板测量值 | 误差 |
|---|---|---|---|
| 输入有功功率 | 2.98kW | 2.96kW | 0.67% |
| 输出有功功率 | 2.95kW | 2.93kW | 0.68% |
| 效率 | 98.99% | 98.99% | 0.00% |
结论:自研测量板在1kHz采样率下,功率测量误差≤0.7%,满足工业应用需求。
总结与展望
本方案通过实时采样技术、高精度元器件选型及抗干扰设计,实现了变频器功率的精准测量。实验结果表明,在1kHz采样率下,测量误差≤0.7%,达到工业级精度要求。未来可进一步优化方向包括:
提升采样率:采用更高性能ADC(如16位/1MSPS),捕获更高次谐波。
集成AI算法:通过机器学习模型实时识别负载类型,优化测量策略。
无线通信:集成LoRa或NB-IoT模块,实现远程功率监控与数据分析。
参考文献:
STM32F103RCT6数据手册(STMicroelectronics)。
AD7606数据手册(Analog Devices)。
HIOKI PW6001功率分析仪技术白皮书。
责任编辑:David
【免责声明】
1、本文内容、数据、图表等来源于网络引用或其他公开资料,版权归属原作者、原发表出处。若版权所有方对本文的引用持有异议,请联系拍明芯城(marketing@iczoom.com),本方将及时处理。
2、本文的引用仅供读者交流学习使用,不涉及商业目的。
3、本文内容仅代表作者观点,拍明芯城不对内容的准确性、可靠性或完整性提供明示或暗示的保证。读者阅读本文后做出的决定或行为,是基于自主意愿和独立判断做出的,请读者明确相关结果。
4、如需转载本方拥有版权的文章,请联系拍明芯城(marketing@iczoom.com)注明“转载原因”。未经允许私自转载拍明芯城将保留追究其法律责任的权利。
拍明芯城拥有对此声明的最终解释权。

产品分类

2012- 2022 拍明芯城ICZOOM.com 版权所有 客服热线:400-693-8369 (9:00-18:00)