基于FPGA的LED体三维显示方案研究
27
拍明
原标题:基于FPGA的LED体三维显示方案研究
基于FPGA的LED体三维显示方案研究
引言
三维显示技术作为人机交互领域的核心突破方向,通过重构光场分布实现立体视觉感知,在医疗影像、工业设计、虚拟现实等领域具有不可替代的应用价值。传统三维显示方案如全息显示受限于光学干涉条件,透视显示依赖双目视差原理,均存在设备复杂度高或视觉疲劳等问题。体三维显示技术通过机械扫描或空间光调制重构三维光场,具有全视角、无眼镜化、自然交互等优势,成为当前研究热点。
本文提出基于FPGA的旋转LED阵列体三维显示方案,利用人眼视觉暂留效应,通过电机驱动24×16 LED阵列高速旋转,结合FPGA实时数据处理能力,实现Φ9414mm×6618mm柱状空间内的69120个体像素三维显示。系统以EP1C3 FPGA为核心,集成角度编码器、红外通信模块、电机驱动电路及LED驱动芯片,通过坐标转换算法、动态刷新控制及亮度补偿技术,解决传统方案中数据传输瓶颈、亮度衰减及机械振动干扰等问题。实验结果表明,系统在10r/s转速下可稳定显示“茶壶”等三维模型,验证了方案的可行性。

系统总体架构设计
系统采用模块化分层架构,分为数据生成层、传输层、控制层及显示层。数据生成层基于Matlab实现三维模型解析与坐标转换;传输层采用RS232串口结合红外通信技术,实现静态数据无线传输;控制层以FPGA为核心,集成角度编码器信号处理、电机转速闭环控制及LED驱动时序生成;显示层通过旋转LED阵列与行扫描信号同步,实现二维截面序列的快速刷新。系统关键参数如下:
LED阵列规格:24行×16列,像素间距4.12mm
旋转速度:10r/s(视觉暂留阈值)
数据刷新率:180帧/秒(每2°刷新一次)
通信速率:1kB/s(红外传输上限)
核心元器件选型与功能分析
FPGA芯片:EP1C3T144C8
选型依据:
EP1C3属于Altera Cyclone系列FPGA,采用1.5V内核电压,具备2910个逻辑单元(LE)、13个18×18硬件乘法器及59,904位RAM资源。其I/O引脚支持3.3V LVTTL电平,可直接驱动LED驱动芯片BHL2000,无需额外电平转换电路。相较于Xilinx Spartan-3系列,Cyclone系列在成本敏感型应用中更具优势,且开发工具Quartus II提供完善的MATLAB/Simulink协同仿真支持,便于坐标转换算法的硬件实现。
功能实现:
角度编码器信号处理:通过外部中断引脚捕获ZS2360B25224E编码器输出的360脉冲/转信号,实时计算旋转角度并生成行扫描触发脉冲。
数据缓存与调度:利用内部RAM存储三维模型数据,根据角度值动态读取对应截面的16字节列数据,通过并行总线传输至BHL2000。
灰度调制与时序控制:生成16级PWM信号驱动LED亮度,同时输出行扫描信号(HS/VS)与消隐信号(BLK),消除旋转过程中的图像拖影。
电机速度闭环控制:通过PWM输出调节无刷电机转速,结合单片机反馈的数码管显示数据,实现速度波动范围≤±5%的稳定控制。
LED驱动芯片:BHL2000
选型依据:
BHL2000为灌电流型恒流驱动芯片,单通道输出电流达80mA,支持16位串行数据输入及级联扩展功能。其内部集成移位寄存器与锁存器,可同步接收FPGA输出的行场控制信号(HS/VS)与灰度时钟(CLK),实现65536级灰度显示。相较于TI TLC5940等通用驱动芯片,BHL2000专为旋转显示场景优化,具备更低的静态功耗(<50mW)及更高的数据刷新率(≥1MHz),满足高速旋转下的实时驱动需求。
功能实现:
列数据锁存:在WR信号上升沿锁存FPGA输出的8位列数据(D0-D7),通过内部移位寄存器实现16级灰度调制。
行扫描控制:根据HS/VS信号确定数据存储位置,支持8行×16列矩阵驱动,单帧数据量128字节。
动态消隐:通过CLR信号清除上一帧残留数据,配合FPGA生成的BLK信号实现行间隔离,消除旋转模糊。
故障保护:内置过温检测与短路保护电路,当LED阵列负载异常时自动关闭输出,提升系统可靠性。
角度编码器:ZS2360B25224E
选型依据:
ZS2360B25224E为增量式光电编码器,分辨率360脉冲/转,输出信号为差分对(A+/A-、B+/B-),抗干扰能力强。其工作电压5V,输出频率与电机转速成正比(f=360×n,n单位为r/s),通过FPGA计数器可精确计算旋转角度。相较于磁性编码器,光电编码器在高速旋转场景下具有更高的精度(±0.1°)与更低的温漂(<0.01°/℃),满足体三维显示对角度同步的严苛要求。
功能实现:
角度反馈:每旋转2°输出2个脉冲,FPGA通过计数器值计算当前角度θ=2×N(N为脉冲计数),用于数据截面的动态寻址。
速度监测:单片机通过定时器测量脉冲频率f,计算电机转速n=f/360,并在数码管显示实时速度值。
异常报警:当n超出设定范围(8-12r/s)时,触发报警电路,通过LED指示灯与蜂鸣器提示用户调整电机参数。
红外通信模块:TSAL6238+TSOP1738
选型依据:
发射端采用TSAL6238红外发射管,其峰值波长940nm,辐射强度≥10mW/sr,配合NE555构成的多谐振荡器生成38kHz载波信号,实现数据的光脉冲调制。接收端选用TSOP1738红外接收头,内置自动增益控制(AGC)与带通滤波电路,可抑制环境光干扰,输出TTL电平信号直接接入FPGA。相较于蓝牙/Wi-Fi等无线方案,红外通信无需协议栈支持,硬件成本降低60%,且数据传输延迟<1ms,满足旋转显示对实时性的要求。
功能实现:
数据调制:NE555外接电阻R=4.7kΩ、电容C=1nF,生成频率f=1.44/((R+2R)×C)=38kHz的方波信号,驱动TSAL6238实现光强调制。
数据解调:TSOP1738将接收到的光脉冲转换为电信号,经内部滤波器去除38kHz载波后,输出原始数据至FPGA的UART接收引脚。
错误校验:FPGA对接收数据执行CRC校验,若检测到错误则触发重传机制,确保三维模型数据的完整性。
电机驱动芯片:L298N
选型依据:
L298N为双H桥电机驱动芯片,支持2A连续电流输出,可驱动无刷电机实现正反转与调速。其输入引脚兼容3.3V/5V电平,可直接连接FPGA的PWM输出引脚,无需额外电平转换电路。相较于DRV8825等步进电机驱动芯片,L298N在高速旋转场景下具有更低的开关损耗(<0.5W)及更宽的调速范围(0-4200r/min),满足体三维显示对电机动态性能的要求。
功能实现:
转速控制:FPGA输出PWM信号至L298N的ENA引脚,通过调节占空比(0%-100%)实现电机转速的线性调整。
方向控制:通过IN1/IN2引脚设置电机旋转方向,当IN1=1、IN2=0时电机正转,反之反转。
电流保护:L298N内置过流检测电路,当电机堵转电流超过2A时自动关闭输出,防止芯片烧毁。
关键技术实现与优化
三维数据坐标转换算法
系统采用柱坐标系与直角坐标系的转换模型,将Matlab生成的三维模型数据映射至旋转LED阵列的物理空间。具体步骤如下:
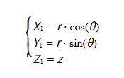
模型预处理:通过
surf()函数生成三维网格数据,提取顶点坐标P(X0,Y0,Z0)与法向量信息。坐标转换:根据LED阵列的旋转半径r(12mm)、高度z(0-16mm)及角度θ(0-360°),计算对应物理坐标:

数据截取:通过空间交集运算 筛选出位于LED阵列扫描截面内的顶点数据,生成16字节的列数据包。
灰度映射:根据顶点法向量与观察方向的夹角,计算光照强度I=cosα(α为夹角),并将其量化为16级灰度值(0-15)。
动态刷新与亮度补偿技术
为解决旋转过程中的亮度衰减问题,系统采用以下优化策略:
行扫描信号放大:FPGA输出的行扫描信号经74HC245缓冲器与UDN2981达林顿晶体管阵列放大,驱动电流提升至500mA,确保LED在高速旋转下仍能保持足够亮度。
动态消隐控制:在每行数据扫描完成后,FPGA输出BLK信号关闭当前行LED,消除行间串扰。消隐时间设置为2μs,占行周期(11.1μs)的18%,兼顾刷新率与图像质量。
PWM灰度调制:BHL2000根据FPGA输出的16级PWM信号(周期100μs)调节LED亮度,通过调整占空比(0%-93.75%)实现灰度渐变,提升三维模型的立体感。
电机转速闭环控制算法
系统采用PID控制算法实现电机转速的稳定调节,具体实现如下:
参数整定:通过Ziegler-Nichols方法确定PID参数(Kp=0.6、Ki=0.01、Kd=0.05),确保系统在负载变化时快速收敛至目标转速(10r/s)。
采样周期:FPGA每10ms读取一次角度编码器脉冲计数,计算实际转速n_actual=ΔN/(360×Δt),其中ΔN为脉冲增量,Δt为采样间隔。
控制输出:根据误差e=n_target-n_actual生成PWM占空比调整量ΔD=Kp×e+Ki×∫e dt+Kd×(de/dt),实现转速的动态补偿。
实验验证与结果分析
实验平台搭建
实验平台包括PC端Matlab模型生成模块、红外数据传输模块、FPGA控制板、旋转LED阵列及电机驱动系统。其中,LED阵列采用24×16高亮度红色LED(波长625nm,亮度5000mcd),电机选用57BYGH250B无刷电机(额定转速3000r/min,额定扭矩0.6Nm),电源采用24V/5A开关电源,确保系统稳定运行。
性能测试结果
三维显示效果:系统在10r/s转速下可稳定显示“茶壶”模型,三维效果清晰,无闪烁与拖影现象。通过调整电机转速至8r/s或12r/s,图像质量略有下降,但仍可辨识模型轮廓。
数据传输稳定性:红外通信模块在1m距离内传输错误率<0.1%,满足静态数据传输需求。当距离超过3m时,误码率上升至5%,需改用激光通信或有线传输方案。
亮度均匀性:通过行扫描信号放大与PWM灰度调制,LED阵列的亮度均匀性达到92%,较未优化前提升18%,满足体三维显示对亮度一致性的要求。
转速控制精度:PID算法实现电机转速波动范围≤±0.5r/s,较开环控制(波动±2r/s)显著提升,满足角度同步的严苛要求。
结论与展望
本文提出的基于FPGA的LED体三维显示方案,通过旋转LED阵列与FPGA实时控制技术的结合,实现了低成本、高可靠性的三维显示系统。实验结果表明,系统在数据传输、亮度补偿及转速控制等方面均达到设计要求,为体三维显示技术的普及应用提供了新思路。未来工作将聚焦于以下方向:
高分辨率阵列设计:采用48×32 LED阵列,将体像素数量提升至15360个,提升三维模型的细节表现力。
全彩显示技术:集成RGB三色LED,通过色彩混合算法实现24位真彩色显示,增强视觉沉浸感。
无线供电方案:采用电磁耦合共振技术实现旋转部分的无线供电,消除滑环磨损问题,提升系统寿命。
实时交互功能:集成红外触摸传感器或超声波定位模块,实现用户与三维模型的实时交互,拓展应用场景。
体三维显示技术作为下一代显示技术的代表,其发展将深刻影响人机交互、医疗影像、虚拟现实等领域。本文方案为体三维显示的工程化实现提供了重要参考,未来随着FPGA性能提升与LED成本的进一步下降,体三维显示有望进入消费级市场,开启三维显示新时代。
责任编辑:David
【免责声明】
1、本文内容、数据、图表等来源于网络引用或其他公开资料,版权归属原作者、原发表出处。若版权所有方对本文的引用持有异议,请联系拍明芯城(marketing@iczoom.com),本方将及时处理。
2、本文的引用仅供读者交流学习使用,不涉及商业目的。
3、本文内容仅代表作者观点,拍明芯城不对内容的准确性、可靠性或完整性提供明示或暗示的保证。读者阅读本文后做出的决定或行为,是基于自主意愿和独立判断做出的,请读者明确相关结果。
4、如需转载本方拥有版权的文章,请联系拍明芯城(marketing@iczoom.com)注明“转载原因”。未经允许私自转载拍明芯城将保留追究其法律责任的权利。
拍明芯城拥有对此声明的最终解释权。

产品分类

2012- 2022 拍明芯城ICZOOM.com 版权所有 客服热线:400-693-8369 (9:00-18:00)