三端稳压器lm350详情
1
拍明芯城
三端稳压器LM350深度解析
一、LM350的概述与核心特性
LM350是一款经典的三端可调线性稳压器,凭借其高输出电流、宽电压调节范围和多重保护功能,在工业控制、电源设计、电池充电等领域占据重要地位。其核心特性包括:
输出能力:支持最高3A的连续输出电流,满足中功率负载需求。
电压调节范围:输出电压可调范围为1.2V至33V(部分型号最高37V),覆盖绝大多数低压应用场景。
保护机制:集成过流保护、热关断、安全区域补偿等功能,确保器件在异常工况下免受损坏。
封装形式:提供TO-220、TO-3、TO-263等多种封装,适应不同散热需求和PCB布局。
低噪声与高精度:典型纹波抑制比达86dB,输出电压容差±1%(LM350A型号),适合对电源质量敏感的应用。
二、LM350的工作原理与电路设计
1. 内部结构与功能模块
LM350内部包含基准电压源、误差放大器、调整管、过流保护电路和热关断电路五大模块:
基准电压源:提供1.25V的稳定参考电压,作为输出电压调节的基准。
误差放大器:比较调整端(ADJ)电压与基准电压,通过负反馈控制调整管导通程度,实现输出电压稳定。
调整管:采用大功率晶体管,承担输入输出电压差及负载电流,其压降直接影响器件效率。
过流保护:通过电流限制电路监测输出电流,当超过阈值时限制调整管导通,防止器件烧毁。
热关断:实时监测结温,当温度超过安全阈值(通常125℃)时自动关闭输出,避免热失控。
2. 典型应用电路设计
LM350的典型应用电路包括可调稳压电源、恒流源和电池充电器三种模式,以下分别展开分析:
(1)可调稳压电源电路
电路结构:
输入端:连接未经稳压的直流电源(如变压器整流后的电压),建议输入电压比输出电压高2-3V以保障调节余量。
输出端:通过分压电阻网络(R1、R2)设定输出电压,并联电容(C2)滤除高频噪声。
调整端:连接分压电阻中点,通过改变R2阻值实现电压调节。
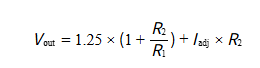
输出电压公式:

其中,为调整端电流(典型值50μA),在大多数应用中可忽略其对输出电压的影响。
设计要点:
电阻选择:R1通常取240Ω,此时R2为可变电阻(如10kΩ电位器),可实现1.25V至约33V的连续调节。
电容配置:输入端并联0.1μF陶瓷电容(C1)和10μF电解电容(C3),抑制高频噪声和低频纹波;输出端并联10μF电解电容(C2),改善动态响应。
散热设计:根据最大输出电流和输入输出压差计算功耗
,选择合适散热器确保结温低于125℃。
(2)恒流源电路
电路结构:
在调整端与输出端之间串联固定电阻(R_S),通过调整R_S阻值设定输出电流。
输出端连接负载(如LED阵列、电池),电流由R_S和基准电压决定。
输出电流公式:

例如,当R_S=1.25Ω时,输出电流恒定为1A。
设计要点:
电阻精度:R_S需采用高精度、低温度系数的电阻(如1%精度金属膜电阻),确保电流稳定性。
电压范围:输入电压需满足
,其中为LM350最小压差(通常1.5V)。负载匹配:负载电阻需满足,避免输出电压过低导致调节失效。
(3)电池充电器电路
电路结构:
结合可调稳压和恒流模式,通过切换电路实现恒流充电(CC)和恒压充电(CV)两阶段控制。
初始阶段采用恒流模式,快速充电至电池电压接近设定值;随后切换至恒压模式,防止过充。
设计要点:
切换逻辑:通过比较器监测电池电压,当电压达到阈值时断开恒流电阻,启用分压电阻网络设定恒压值。
充电终止:集成电流检测电路,当充电电流降至设定值(如0.1C)时终止充电,避免电池损伤。
保护功能:增加反向保护二极管(如1N4007)防止电池反接,并联TVS二极管抑制输入端浪涌电压。
三、LM350的选型与关键参数对比
1. 型号分类与差异
LM350系列包含多个子型号,主要差异体现在封装、温度范围和精度等级:
| 型号 | 封装形式 | 工作温度范围 | 输出电压容差 | 典型应用场景 |
|---|---|---|---|---|
| LM350T | TO-220 | 0℃~125℃ | ±1.5% | 通用稳压电源、消费电子 |
| LM350A | TO-220 | -40℃~125℃ | ±1% | 工业控制、高精度仪器 |
| LM350K | TO-3 | -55℃~150℃ | ±1% | 军工、航空航天等极端环境 |
| LM350S/TR | TO-263-3 | 0℃~125℃ | ±1.5% | SMT表面贴装、便携式设备 |
2. 关键参数解析
输入输出电压差(Dropout Voltage):LM350在3A输出时的典型压降为1.5V,输入电压需高于输出电压至少1.5V以维持稳定调节。
负载调整率(Load Regulation):LM350A型号的负载调整率为0.3%/A,表示输出电流每变化1A,输出电压波动不超过0.3%。
线性调整率(Line Regulation):典型值为0.01%/V,表示输入电压每变化1V,输出电压波动不超过0.01%。
纹波抑制比(PSRR):86dB@120Hz,表明LM350对输入端120Hz纹波的衰减能力极强,适合对电源噪声敏感的应用。
四、LM350的典型应用案例
1. 可调实验室电源设计
需求分析:
输出电压范围:1.25V~30V可调
输出电流:0~3A连续可调
保护功能:过流、短路、过热保护
电路实现:
输入端:采用24V/5A开关电源模块,并联1000μF电解电容和0.1μF陶瓷电容滤波。
输出端:使用LM350T芯片,R1=240Ω,R2=10kΩ电位器,实现电压调节;串联0.5Ω/5W水泥电阻检测电流,通过比较器触发过流保护。
显示模块:集成数码管显示输出电压和电流,通过ADC采样分压电阻和电流检测电阻值。
散热设计:采用TO-220封装搭配铝制散热器,表面涂导热硅脂,确保结温低于100℃。
2. LED恒流驱动电路
需求分析:
驱动10串3并的LED阵列(总功率90W)
输出电流:1.2A恒定
输入电压:36V直流
电路实现:
恒流电阻:R_S=1.25Ω/2W金属膜电阻,串联于调整端与输出端之间。
输入电容:并联100μF电解电容和0.1μF陶瓷电容,抑制电源纹波。
输出电容:并联10μF电解电容,改善LED电流纹波。
保护电路:串联快速恢复二极管(如1N5819)防止反向电压,并联TVS二极管(如P6KE36CA)抑制浪涌电压。
3. 锂电池充电电路设计
需求分析:
充电对象:12V/10Ah铅酸电池
充电模式:恒流(1A)→恒压(13.8V)两阶段
保护功能:过充、过放、短路保护
电路实现:
恒流阶段:R_S=1.25Ω,设定充电电流1A;通过比较器监测电池电压,当电压升至13.5V时切换至恒压模式。
恒压阶段:R1=240Ω,R2=2.6kΩ,设定输出电压13.8V;通过电流检测电阻(0.1Ω)监测充电电流,当电流降至0.1A时终止充电。
保护电路:集成MOSFET开关管(如IRF540N)控制充电通路,通过比较器监测电池电压和电流,实现过充、过放、短路保护。
五、LM350的常见问题与解决方案
1. 输出电压波动
可能原因:
输入电容容量不足或失效,导致电源纹波过大。
输出端负载突变,超出LM350的瞬态响应能力。
调整端电阻接触不良或温漂严重,影响分压比稳定性。
解决方案:
增大输入电容容量(如并联1000μF电解电容),并选用低ESR电容。
在输出端并联高频陶瓷电容(如0.1μF),改善高频纹波抑制。
选用高精度、低温度系数的金属膜电阻作为分压网络,并确保焊接可靠。
2. 器件过热损坏
可能原因:
输入输出压差过大,导致功耗过高(如输入24V、输出5V、电流3A时,功耗达57W)。
散热器选型不当或安装不良,散热效率不足。
环境温度过高或通风不畅,影响器件散热。
解决方案:
优化输入电压选择,尽量缩小输入输出压差(如改用12V输入驱动5V输出)。
选用导热系数高的散热器(如铝制鳍片散热器),并涂抹导热硅脂确保接触良好。
改善设备通风条件,增加散热风扇或开孔设计。
3. 输出电流不足
可能原因:
输入电压过低,无法满足LM350的最小压差要求。
输出端短路或负载过重,触发过流保护。
器件老化或损坏,导致输出能力下降。
解决方案:
检查输入电压是否满足。
断开负载,测量空载输出电压;若正常,则检查负载是否短路或过重。
更换新器件测试,确认是否为器件故障。
六、LM350的替代方案与选型建议
1. 替代型号对比
| 型号 | 输出电流 | 输出电压范围 | 封装形式 | 典型应用场景 |
|---|---|---|---|---|
| LM317 | 1.5A | 1.25V~37V | TO-220 | 低功率稳压电源 |
| LT1086 | 1.5A | 1.25V~15V | TO-220 | 低噪声、高精度稳压电源 |
| LM338 | 5A | 1.25V~37V | TO-3 | 高功率稳压电源 |
| LD1085 | 3A | 1.2V~15V | TO-220 | 低压差、高效率稳压电源 |
2. 选型建议
低功率应用(<1.5A):优先选择LM317或LT1086,成本更低且体积更小。
高功率应用(>3A):选用LM338或并联多个LM350实现电流扩展。
低压差应用(输入输出压差<1.5V):选择LD1085等低压差稳压器,提高效率。
高精度需求:选用LM350A或LT1086,输出电压容差±1%,线性调整率0.01%/V。
元器件采购上拍明芯城www.iczoom.com
拍明芯城提供型号查询、品牌、价格参考、国产替代、供应商厂家、封装、规格参数、数据手册等采购信息查询PDF数据手册中文资料_引脚图及功能
责任编辑:David
【免责声明】
1、本文内容、数据、图表等来源于网络引用或其他公开资料,版权归属原作者、原发表出处。若版权所有方对本文的引用持有异议,请联系拍明芯城(marketing@iczoom.com),本方将及时处理。
2、本文的引用仅供读者交流学习使用,不涉及商业目的。
3、本文内容仅代表作者观点,拍明芯城不对内容的准确性、可靠性或完整性提供明示或暗示的保证。读者阅读本文后做出的决定或行为,是基于自主意愿和独立判断做出的,请读者明确相关结果。
4、如需转载本方拥有版权的文章,请联系拍明芯城(marketing@iczoom.com)注明“转载原因”。未经允许私自转载拍明芯城将保留追究其法律责任的权利。
拍明芯城拥有对此声明的最终解释权。

产品分类



2012- 2022 拍明芯城ICZOOM.com 版权所有 客服热线:400-693-8369 (9:00-18:00)