运放中接电容有什么作用
1
拍明芯城
运放中接电容的深度解析:从基础原理到工程实践
在模拟电子技术领域,运算放大器(Operational Amplifier,简称运放)作为核心元件,其性能稳定性直接决定了电路系统的可靠性。而电容作为运放电路中不可或缺的被动元件,其作用远超“滤波”这一基础认知。本文将从电源去耦、频率补偿、抗干扰设计、积分器实现、稳定性优化等五大维度,结合理论推导与工程实践,系统阐述运放中接电容的深层机制。

一、电源去耦电容:构建纯净的能量供给系统
1.1 电源噪声的来源与危害
实际电源系统中,开关电源的纹波、数字电路的瞬态电流、电磁干扰(EMI)等因素会导致电源电压波动。以开关电源为例,其输出电压中包含高频开关噪声(通常在数百kHz至MHz范围),若直接进入运放电源引脚,会通过运放内部晶体管的寄生电容耦合至信号路径,引发输出信号失真。实验表明,当电源噪声幅度超过运放供电电压的1%时,信号总谐波失真(THD)可能恶化10dB以上。
1.2 去耦电容的工作原理
去耦电容通过“充电-放电”机制实现电源净化。当电源电压上升时,电容充电存储能量;当电压下降时,电容放电补充能量。其核心参数为等效串联电阻(ESR)和等效串联电感(ESL),低ESR电容(如陶瓷电容)可提供更快的瞬态响应,而低ESL电容(如多层陶瓷电容MLCC)在高频段具有更优的阻抗特性。
1.3 工程设计要点
容量选择:遵循“小容量高频+大容量低频”原则。例如,0.1μF陶瓷电容用于滤除MHz级噪声,10μF钽电容用于平滑kHz级纹波。
布局优化:电容应尽可能靠近运放电源引脚,缩短PCB走线长度(建议≤3mm),以减少寄生电感。
多级去耦:在电源入口处放置大容量电解电容(如100μF),在运放附近放置小容量陶瓷电容,形成分级滤波网络。
二、频率补偿电容:驯服运放的非理想特性
2.1 运放的相位裕度危机
理想运放的开环增益随频率升高而下降,同时相位滞后逐渐增加。当相位滞后达到180°时,若环路增益仍大于1,系统将发生自激振荡。实际运放因输入寄生电容(通常10~20pF)、布线寄生电感等因素,相位裕度可能低于45°,导致稳定性下降。
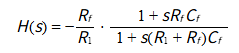
2.2 补偿电容的相位超前机制
在反馈电阻Rf上并联补偿电容Cf,可构建“零点-极点”补偿网络。其传递函数为:

当频率达到零点频率 时,系统引入90°相位超前,有效抵消输入寄生电容引起的相位滞后。工程中通常选择Cf使零点频率低于运放开环增益交越频率(GBW)的1/10,例如GBW=10MHz的运放,Cf可取10pF(对应fz≈1.6MHz)。
2.3 补偿电容的取值方法
经验公式法:对于反相放大器,Cf ≈ √(Cin·Cgd),其中Cin为输入寄生电容,Cgd为MOSFET运放的栅漏电容。
仿真优化法:使用SPICE工具进行稳定性分析,调整Cf使相位裕度≥60°。例如,在LTspice中通过.AC分析观察开环相位曲线,确定最佳Cf值。
实验调试法:在实际电路中逐步增加Cf(从1pF开始),用示波器观察输出波形,直至振荡消失。
三、抗干扰电容:构建电磁兼容的信号通道
3.1 共模干扰的抑制机制
在差分输入运放中,共模干扰(如电源噪声、环境电磁波)会同时作用于同相和反相输入端。通过在两输入端之间并联电容Ccm,可形成共模低通滤波器。其截止频率为:

其中Rin为输入电阻(通常10kΩ~1MΩ)。例如,选择Ccm=100pF时,fcm≈160kHz,可有效抑制开关电源的共模噪声(通常在100kHz~1MHz范围)。
3.2 差模干扰的滤除策略
差模干扰(如串扰、工频干扰)会通过信号路径直接进入运放。在反馈路径中串联小电容Cf(通常1~10pF),可形成差模高通滤波器,滤除低频干扰。其传递函数为:

当频率低于截止频率 时,信号被衰减。例如,Rf=100kΩ,Cf=10pF时,fdm≈160kHz,可滤除50Hz工频干扰的谐波。
3.3 抗干扰电容的布局规范
输入端电容:应尽可能靠近运放输入引脚,减少PCB走线寄生电感。
反馈路径电容:应与反馈电阻紧密耦合,避免形成天线效应。
接地处理:电容接地端应采用单点接地,避免地环路干扰。
四、积分器电容:实现精确的时间积分
4.1 理想积分器的局限性
理想积分器的传递函数为:

但实际运放存在输入偏置电流(Ib)和失调电压(Vos),会导致积分电容C持续充电,最终使输出饱和。例如,Ib=1nA,C=1μF时,输出电压每小时变化约3.6V,远超运放供电范围。
4.2 实际积分器的改进设计
通过在反馈路径中并联电阻Rf,可限制直流增益,防止饱和。其传递函数变为:

当频率远低于截止频率 时,电路近似为积分器;当频率高于fc时,电路转为比例放大器。例如,选择Rf=1MΩ,C=0.1μF时,fc≈1.6Hz,可在音频范围内实现精确积分。
4.3 积分器电容的选型要点
电容类型:优先选择聚丙烯薄膜电容(如PP电容),其温度系数低(±50ppm/℃),漏电流小(≤1nA)。
容量稳定性:避免使用电解电容,因其容量随电压和时间变化较大(可达±20%)。
耐压值:应大于运放最大输出电压的1.5倍,例如±15V供电的运放,电容耐压应≥25V。
五、稳定性优化电容:破解高阶系统的振荡谜题
5.1 多极点系统的稳定性挑战
在高速运放(GBW>100MHz)或级联放大系统中,多个极点会导致相位滞后累积。例如,两级放大器的开环相位滞后可能超过270°,极易引发振荡。
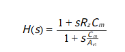
5.2 米勒补偿电容的深度应用
米勒补偿通过在运放内部或外部添加电容Cm,将次极点(通常由输出级寄生电容引起)移至更高频率。其补偿网络如图所示,通过跨接在输入和输出之间的Cm,形成负反馈,扩展相位裕度。
5.3 补偿电容的优化设计
米勒电容取值:通常选择Cm使次极点频率 高于开环增益交越频率的2倍以上。例如,GBW=100MHz,第一级增益Av1=10时,fp2应>20MHz。
零点抵消技术:在米勒补偿路径中串联电阻Rz,可引入左半平面零点,抵消次极点引起的相位滞后。其传递函数为:

通过调整Rz,可使零点频率与次极点频率重合,实现完全补偿。
六、特殊应用场景中的电容设计
6.1 光电耦合器驱动电路中的补偿电容
在隔离驱动电路中,光电耦合器的传输延迟会导致运放输出振荡。通过在运放反馈路径中添加补偿电容Cf(通常100~1000pF),可调整环路相位,防止振荡。例如,在TLP250驱动MOSFET的电路中,Cf=470pF可有效抑制高频振荡。
6.2 精密ADC采样保持电路中的保持电容
在Σ-Δ ADC的采样保持电路中,保持电容Ch(通常0.1~1μF)的精度直接影响ADC的线性度。选择低温度系数(±10ppm/℃)、低漏电流(≤0.1nA)的NP0陶瓷电容,可确保采样精度优于16位。
6.3 压控振荡器(VCO)中的调谐电容
在LC-VCO电路中,变容二极管与固定电容Cv(通常1~10pF)串联,通过控制电压调整振荡频率。选择高Q值(Q>100)的NP0电容,可降低相位噪声,提高频率稳定性。
七、电容选型的综合考量
7.1 电容类型对比
| 电容类型 | 优点 | 缺点 | 典型应用场景 |
|---|---|---|---|
| 陶瓷电容 | 低ESR、低ESL、高频特性好 | 容量小、温度系数大 | 电源去耦、高频补偿 |
| 钽电容 | 容量大、体积小 | 耐压低、漏电流大 | 电源滤波、低频去耦 |
| 薄膜电容 | 精度高、温度稳定性好 | 体积大、成本高 | 精密积分器、采样保持电路 |
| 电解电容 | 容量极大、成本低 | ESR高、高频特性差 | 电源入口滤波、能量存储 |
7.2 关键参数选择
容量精度:精密电路(如仪器放大器)应选择±5%精度电容,一般电路可选±10%~±20%。
耐压值:应大于电路最大电压的1.5倍,例如±12V供电的电路,电容耐压应≥18V。
温度系数:精密电路应选择NP0(±30ppm/℃)或C0G(±15ppm/℃)电容,一般电路可选X7R(±15%)。
八、实际工程中的调试技巧
8.1 相位裕度测试法
使用信号发生器输入正弦波,逐步增加频率,观察输出幅度和相位。当输出幅度下降至最大值的0.707倍(即-3dB)时,记录相位差。若相位差<45°,需增加补偿电容;若>60°,可适当减小电容。
8.2 眼图分析法
在高速串行通信电路中,通过示波器观察眼图张开度。若眼图闭合,表明信号完整性差,需在运放输出端添加串联电容(通常10~100pF)进行预加重。
8.3 热噪声优化法
在低噪声放大器(LNA)中,通过调整反馈电容Cf,可优化噪声系数(NF)。实验表明,当Cf使环路带宽等于信号带宽的1/3时,NF达到最小值。
九、未来趋势:电容技术的创新应用
9.1 集成化电容技术
随着运放IC向小型化发展,片上集成电容(如MOM电容、MIM电容)成为主流。例如,ADI公司的ADA4084运放内部集成了10pF补偿电容,显著简化了外围电路设计。
9.2 可调电容技术
在自适应滤波器中,通过MEMS可调电容(如Varicap二极管)实现动态补偿。例如,TI公司的LMH6629运放支持外部控制电压调整补偿电容,可在1~100pF范围内连续调节。
9.3 高频补偿技术
在GHz级运放中,采用传输线补偿(如微带线)替代传统电容,可突破寄生电感的限制。例如,Keysight公司的E8267D矢量信号发生器中,运放补偿网络采用λ/4传输线实现相位超前。
结语:电容——运放电路的隐形守护者
从电源去耦到频率补偿,从抗干扰设计到稳定性优化,电容在运放电路中扮演着不可或缺的角色。其选型与设计不仅需要理论计算,更需结合实际工程经验进行调试。随着电子技术向高频、高速、高精度方向发展,电容技术的创新将持续推动运放性能的提升。对于工程师而言,深入理解电容的作用机制,掌握其设计方法,是构建高性能模拟电路的关键所在。
责任编辑:David
【免责声明】
1、本文内容、数据、图表等来源于网络引用或其他公开资料,版权归属原作者、原发表出处。若版权所有方对本文的引用持有异议,请联系拍明芯城(marketing@iczoom.com),本方将及时处理。
2、本文的引用仅供读者交流学习使用,不涉及商业目的。
3、本文内容仅代表作者观点,拍明芯城不对内容的准确性、可靠性或完整性提供明示或暗示的保证。读者阅读本文后做出的决定或行为,是基于自主意愿和独立判断做出的,请读者明确相关结果。
4、如需转载本方拥有版权的文章,请联系拍明芯城(marketing@iczoom.com)注明“转载原因”。未经允许私自转载拍明芯城将保留追究其法律责任的权利。
拍明芯城拥有对此声明的最终解释权。

产品分类

2012- 2022 拍明芯城ICZOOM.com 版权所有 客服热线:400-693-8369 (9:00-18:00)